Официальное опубликование правовых актов
ОФИЦИАЛЬНОЕ ОПУБЛИКОВАНИЕ
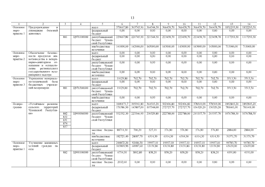
Постановление Кабинета Министров Чувашской Республики от 24.10.2019 № 440
"О внесении изменений в государственную программу Чувашской Республики "Развитие сельского хозяйства и регулирование рынка сельскохозяйственной продук­ции, сырья и продовольствия Чувашской Республики"
Номер опубликования: 2100201910250008
Дата опубликования: 25.10.2019
Страница №14 из 106:
Увеличить