Официальное опубликование правовых актов
ОФИЦИАЛЬНОЕ ОПУБЛИКОВАНИЕ
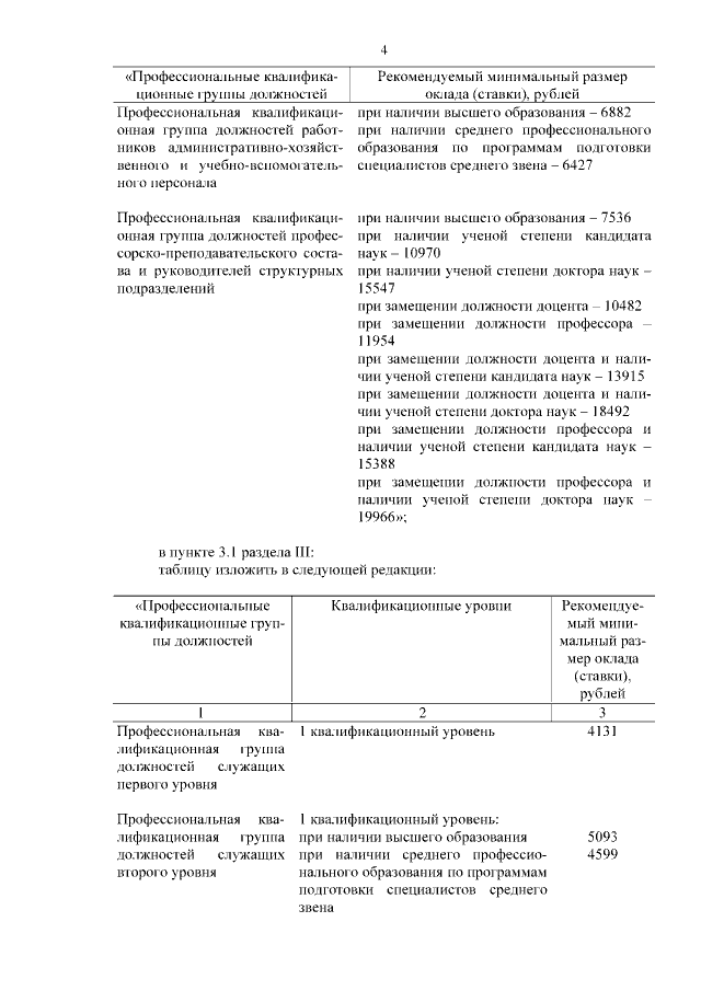
Постановление Кабинета Министров Чувашской Республики от 27.11.2019 № 497
"О внесении изменений в постановление Кабинета Министров Чувашской Республики от 13 сентября 2013 г. № 377"
Номер опубликования: 2100201911280006
Дата опубликования: 28.11.2019
Страница №4 из 6:
Увеличить