Официальное опубликование правовых актов
ОФИЦИАЛЬНОЕ ОПУБЛИКОВАНИЕ
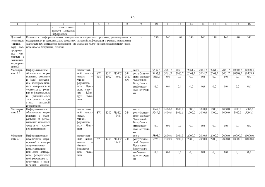
Постановление Кабинета Министров Чувашской Республики от 27.11.2019 № 505
"О внесении изменений в государ­ствен­ную программу Чувашской Республики "Цифровое общество Чувашии"
Номер опубликования: 2100201911290007
Дата опубликования: 29.11.2019
Страница №51 из 52:
Увеличить