Официальное опубликование правовых актов
ОФИЦИАЛЬНОЕ ОПУБЛИКОВАНИЕ
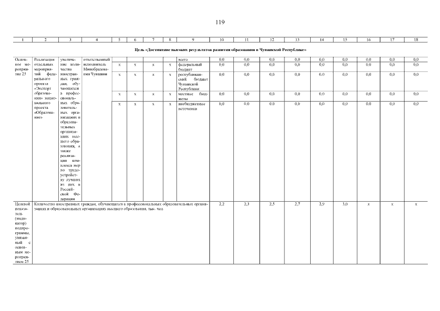
Постановление Кабинета Министров Чувашской Республики от 18.12.2019 № 562
"О внесении изменений в государственную программу Чувашской Республики "Развитие образования"
Номер опубликования: 2100201912250011
Дата опубликования: 25.12.2019
Страница №120 из 265:
Увеличить