Официальное опубликование правовых актов
ОФИЦИАЛЬНОЕ ОПУБЛИКОВАНИЕ
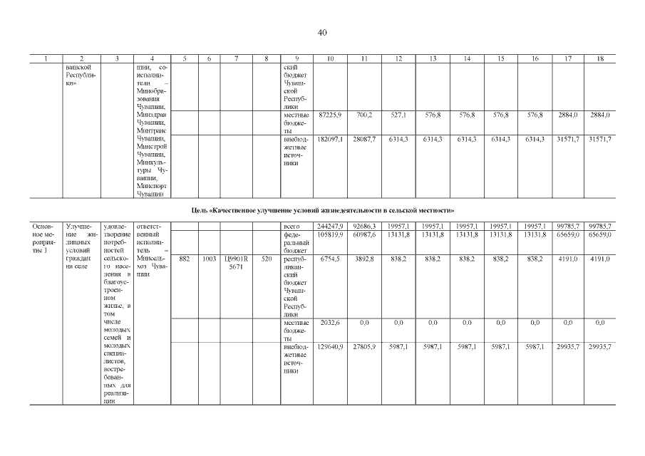
Постановление Кабинета Министров Чувашской Республики от 25.12.2019 № 603
"О внесении изменений в государственную программу Чувашской Республики "Развитие сельского хозяйства и регулирование рынка сельскохозяйственной продук­ции, сырья и продовольствия Чувашской Республики"
Номер опубликования: 2100201912310004
Дата опубликования: 31.12.2019
Страница №41 из 112:
Увеличить