Официальное опубликование правовых актов
ОФИЦИАЛЬНОЕ ОПУБЛИКОВАНИЕ
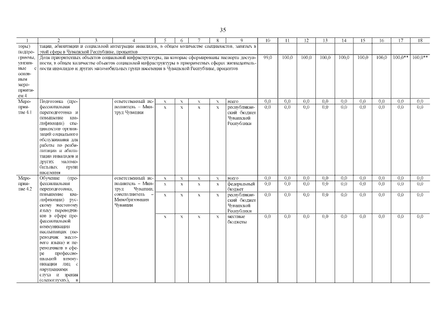
Постановление Кабинета Министров Чувашской Республики от 30.12.2019 № 614
"О внесении изменений в государственную программу Чувашской Республики "Доступная среда"
Номер опубликования: 2100201912310006
Дата опубликования: 31.12.2019
Страница №36 из 84:
Увеличить