Официальное опубликование правовых актов
ОФИЦИАЛЬНОЕ ОПУБЛИКОВАНИЕ
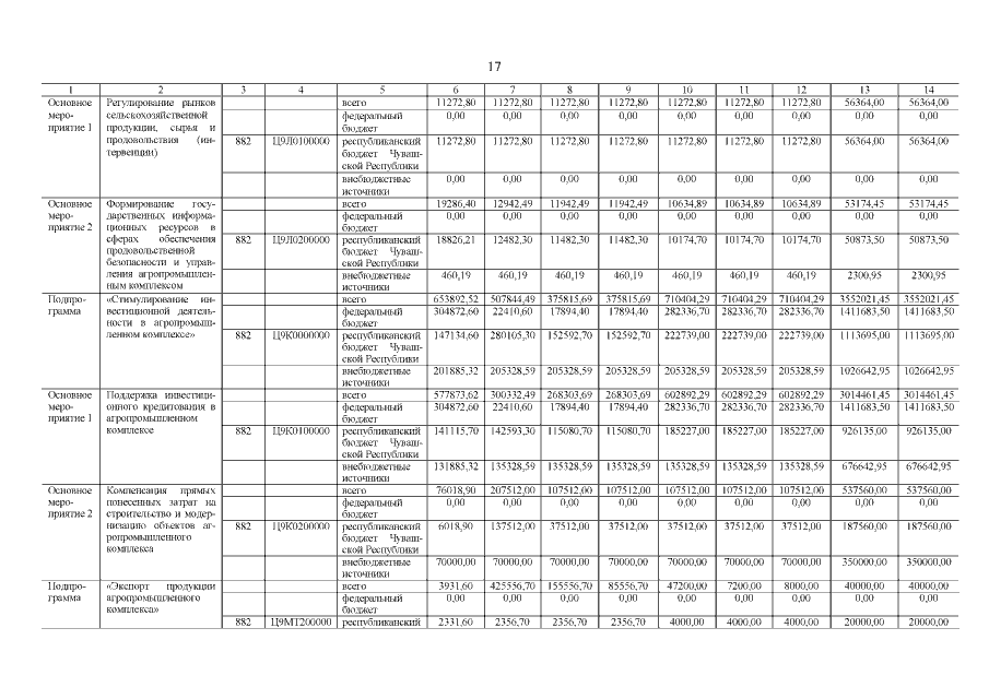
Постановление Кабинета Министров Чувашской Республики от 31.12.2019 № 623
"О внесении изменений в государственную программу Чувашской Республики "Развитие сельского хозяйства и регулирование рынка сельскохозяйственной продукции, сырья и продовольствия Чувашской Республики"
Номер опубликования: 2100202001040003
Дата опубликования: 04.01.2020
Страница №18 из 136:
Увеличить