Официальное опубликование правовых актов
ОФИЦИАЛЬНОЕ ОПУБЛИКОВАНИЕ
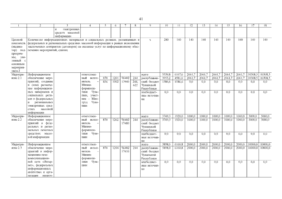
Постановление Кабинета Министров Чувашской Республики от 27.05.2020 № 273
"О внесении изменений в государственную программу Чувашской Республики "Цифровое общество Чувашии"
Номер опубликования: 2100202006010001
Дата опубликования: 01.06.2020
Страница №42 из 43:
Увеличить