Официальное опубликование правовых актов
ОФИЦИАЛЬНОЕ ОПУБЛИКОВАНИЕ
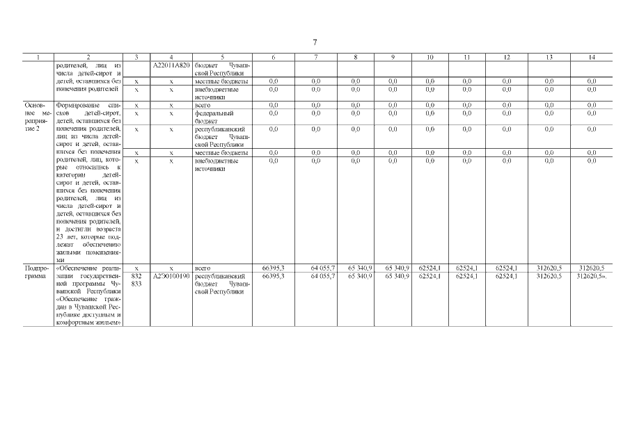
Постановление Кабинета Министров Чувашской Республики от 27.05.2020 № 274
"О внесении изменений в государственную программу Чувашской Республики "Обеспечение граждан в Чувашской Республике доступным и комфортным жильем"
Номер опубликования: 2100202006010007
Дата опубликования: 01.06.2020
Страница №8 из 44:
Увеличить