Официальное опубликование правовых актов
ОФИЦИАЛЬНОЕ ОПУБЛИКОВАНИЕ
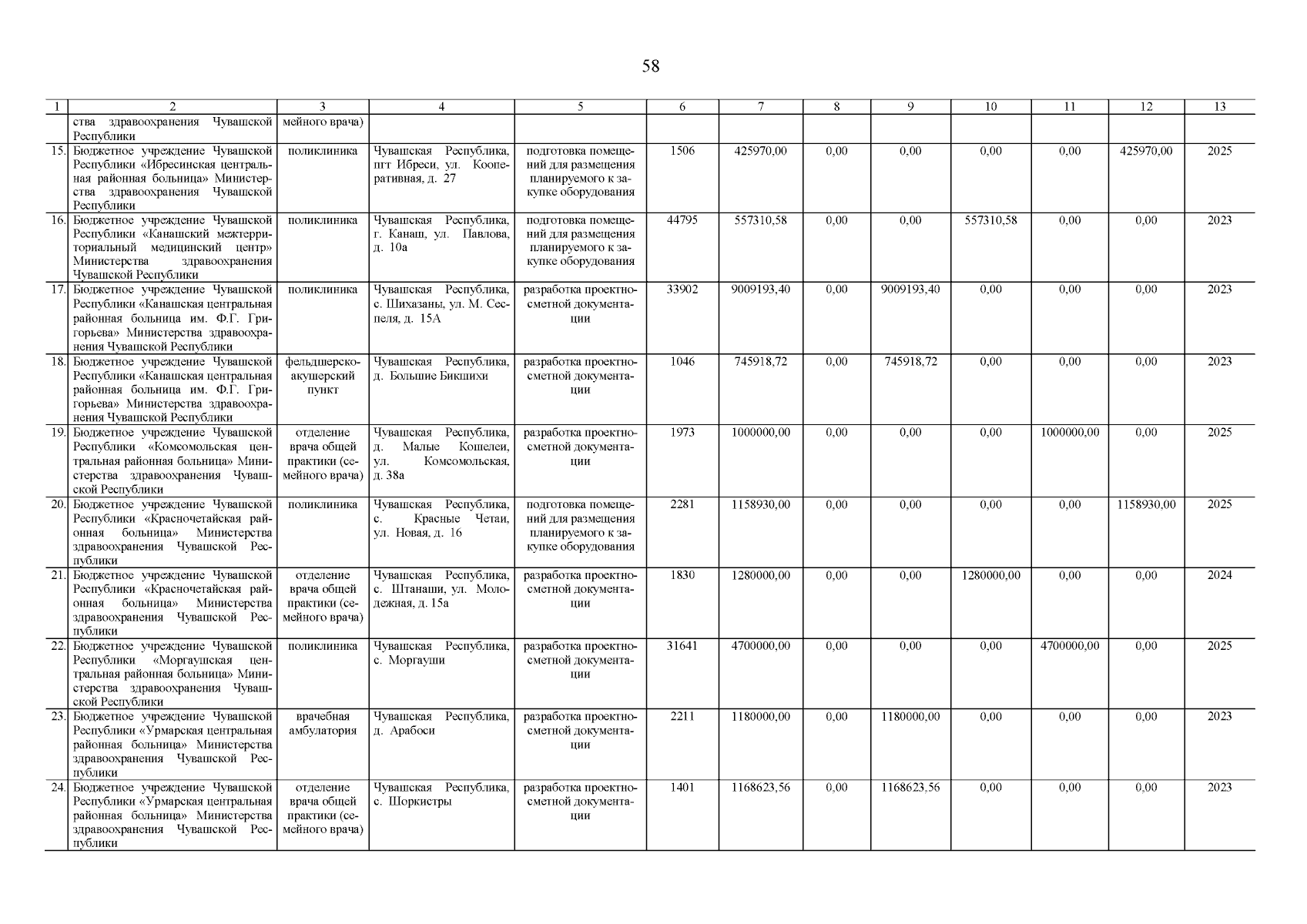
Постановление Кабинета Министров Чувашской Республики от 25.09.2024 № 544
"О внесении изменений в Программу модернизации первичного звена здравоохранения в Чувашской Республике"
Номер опубликования: 2100202409260007
Дата опубликования: 26.09.2024
Страница №59 из 298:
Увеличить