Официальное опубликование правовых актов
ОФИЦИАЛЬНОЕ ОПУБЛИКОВАНИЕ
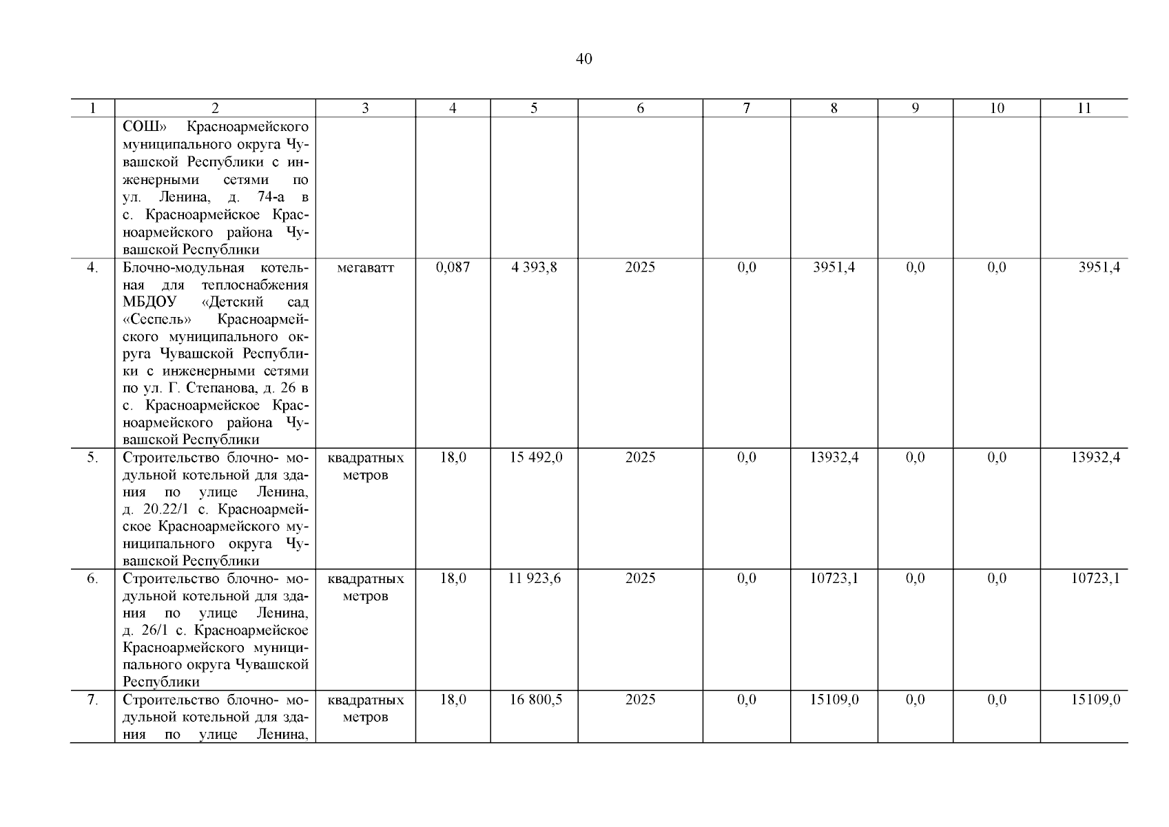
Постановление Кабинета Министров Чувашской Республики от 26.12.2024 № 765
"О внесении изменений в государственную программу Чувашской Республики "Комплексное развитие сельских территорий Чувашской Республики"
Номер опубликования: 2100202412270003
Дата опубликования: 27.12.2024
Страница №41 из 48:
Увеличить