Официальное опубликование правовых актов
ОФИЦИАЛЬНОЕ ОПУБЛИКОВАНИЕ
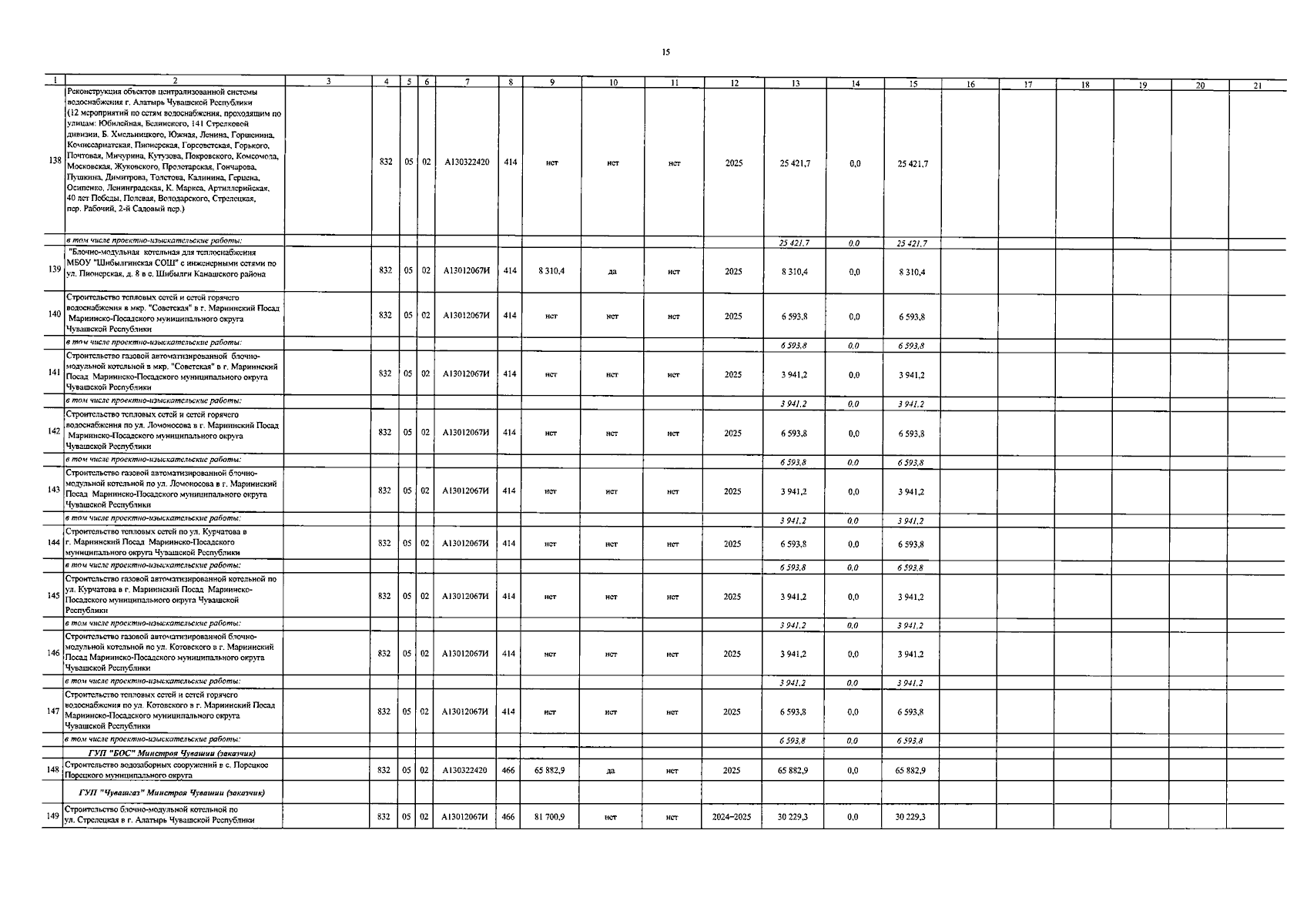
Постановление Кабинета Министров Чувашской Республики от 26.12.2024 № 758
"О Республиканской адресной инвестиционной программе на 2025 год и на плановый период 2026 и 2027 годов"
Номер опубликования: 2100202412280001
Дата опубликования: 28.12.2024
Страница №16 из 19:
Увеличить