Официальное опубликование правовых актов
ОФИЦИАЛЬНОЕ ОПУБЛИКОВАНИЕ
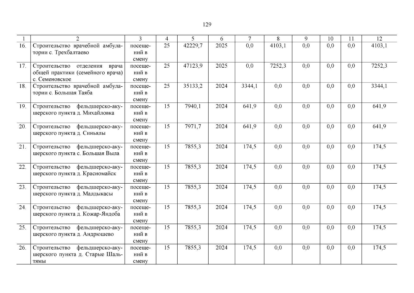
Постановление Кабинета Министров Чувашской Республики от 07.02.2025 № 49
"О внесении изменений в государственную программу Чувашской Республики "Развитие здравоохранения"
Номер опубликования: 2100202502110001
Дата опубликования: 11.02.2025
Страница №130 из 136:
Увеличить