Официальное опубликование правовых актов
ОФИЦИАЛЬНОЕ ОПУБЛИКОВАНИЕ
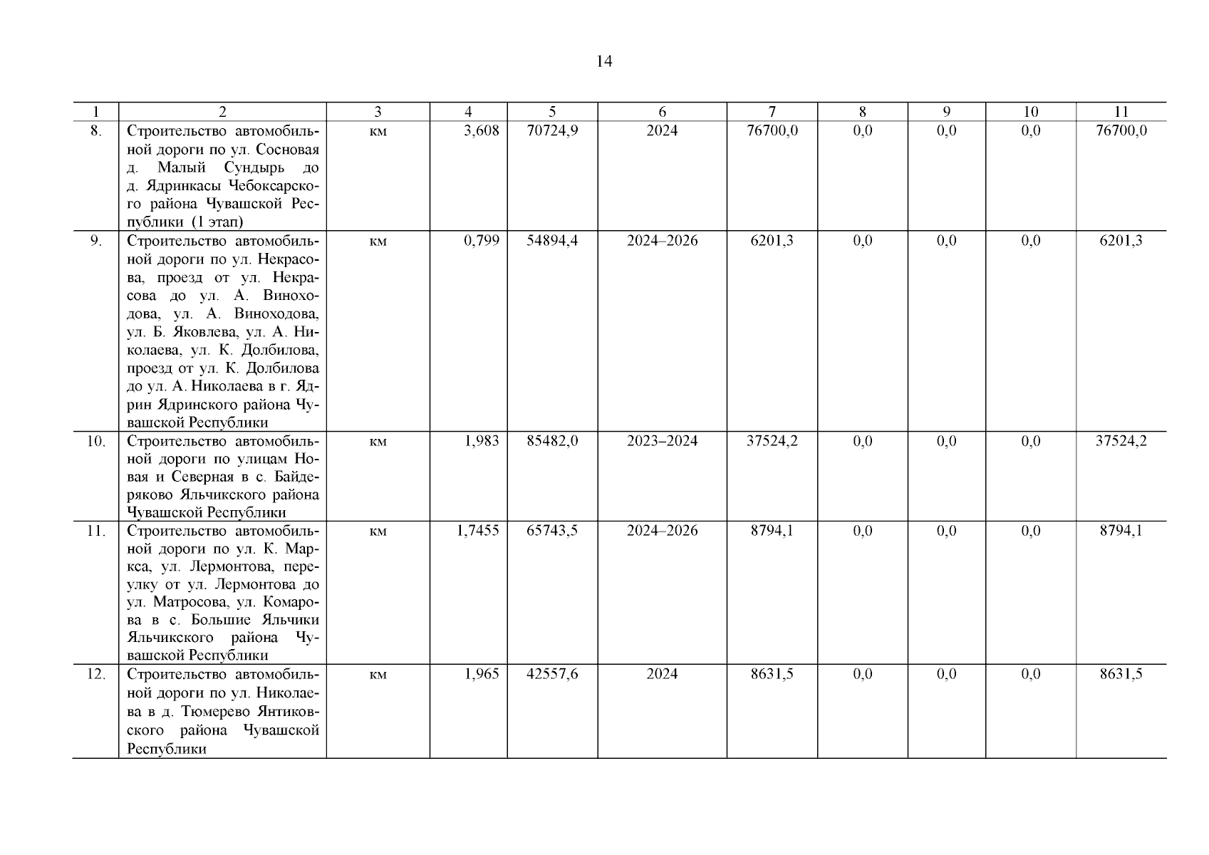
Постановление Кабинета Министров Чувашской Республики от 20.05.2025 № 285
"О внесении изменений в государственную программу Чувашской Республики "Комплексное развитие сельских территорий Чувашской Республики"
Номер опубликования: 2100202505210003
Дата опубликования: 21.05.2025
Страница №15 из 19:
Увеличить