Официальное опубликование правовых актов
ОФИЦИАЛЬНОЕ ОПУБЛИКОВАНИЕ
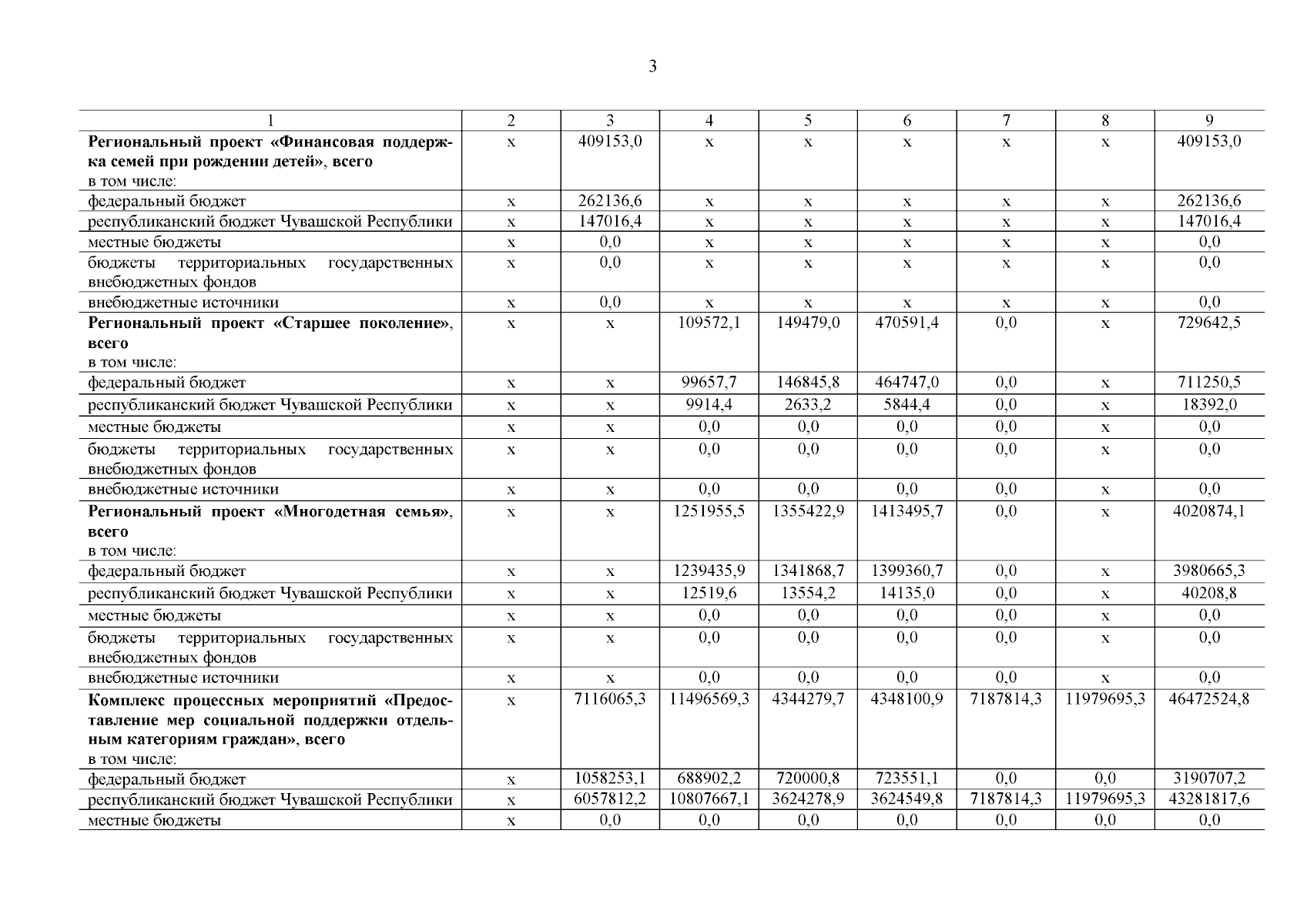
Постановление Кабинета Министров Чувашской Республики от 26.08.2025 № 470
"О внесении изменений в государственную программу Чувашской Республики "Социальная поддержка граждан"
Номер опубликования: 2100202508270001
Дата опубликования: 27.08.2025
Страница №4 из 53:
Увеличить