Официальное опубликование правовых актов
ОФИЦИАЛЬНОЕ ОПУБЛИКОВАНИЕ
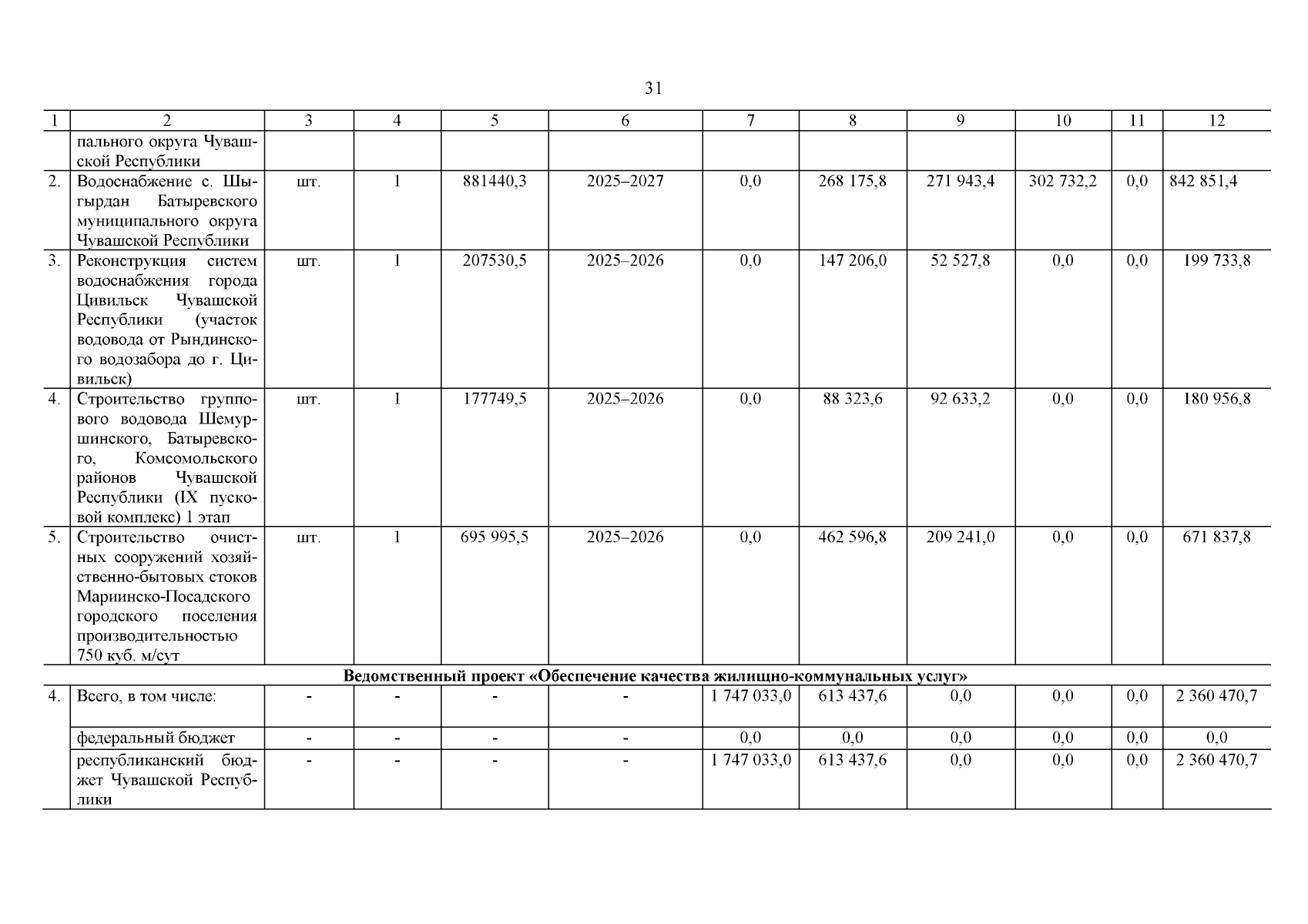
Постановление Кабинета Министров Чувашской Республики от 08.09.2025 № 507
"О внесении изменений в государственную программу Чувашской Республики "Модернизация и развитие сферы жилищно-коммунального хозяйства"
Номер опубликования: 2100202509090001
Дата опубликования: 09.09.2025
Страница №32 из 50:
Увеличить