Официальное опубликование правовых актов
ОФИЦИАЛЬНОЕ ОПУБЛИКОВАНИЕ
Постановление Кабинета Министров Чувашской Республики от 10.09.2025 № 512
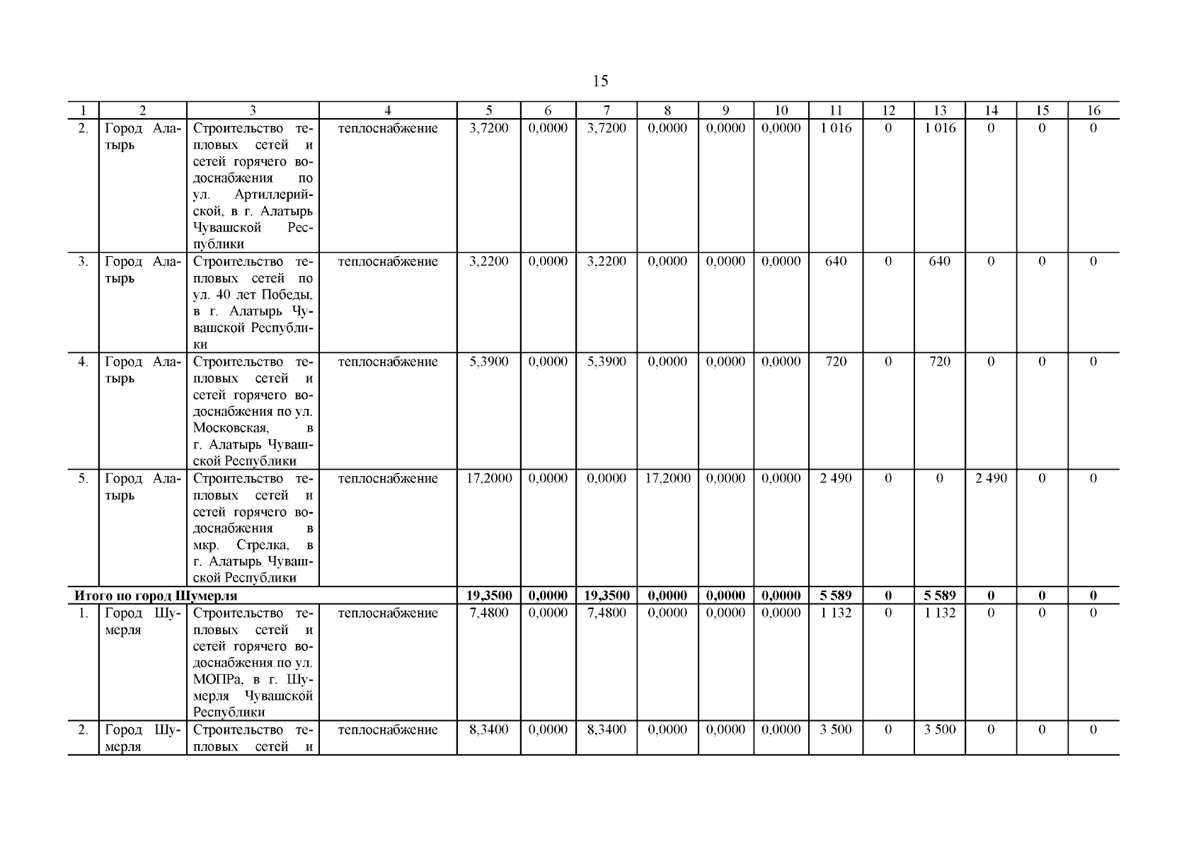
"О внесении изменений в региональную программу Чувашской Республики "Модернизация систем коммунальной инфраструктуры c привлечением средств публично-правовой компании "Фонд развития территорий"
Номер опубликования: 2100202509100009
Дата опубликования: 10.09.2025
Страница №16 из 17:
Увеличить