Официальное опубликование правовых актов
ОФИЦИАЛЬНОЕ ОПУБЛИКОВАНИЕ
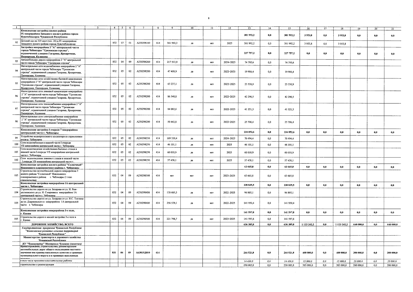
Постановление Кабинета Министров Чувашской Республики от 24.09.2025 № 535
"О внесении изменения в Республиканскую адресную инвестиционную программу на 2025 год и на плановый период 2026 и 2027 годов"
Номер опубликования: 2100202509250003
Дата опубликования: 25.09.2025
Страница №9 из 21: