Официальное опубликование правовых актов
ОФИЦИАЛЬНОЕ ОПУБЛИКОВАНИЕ
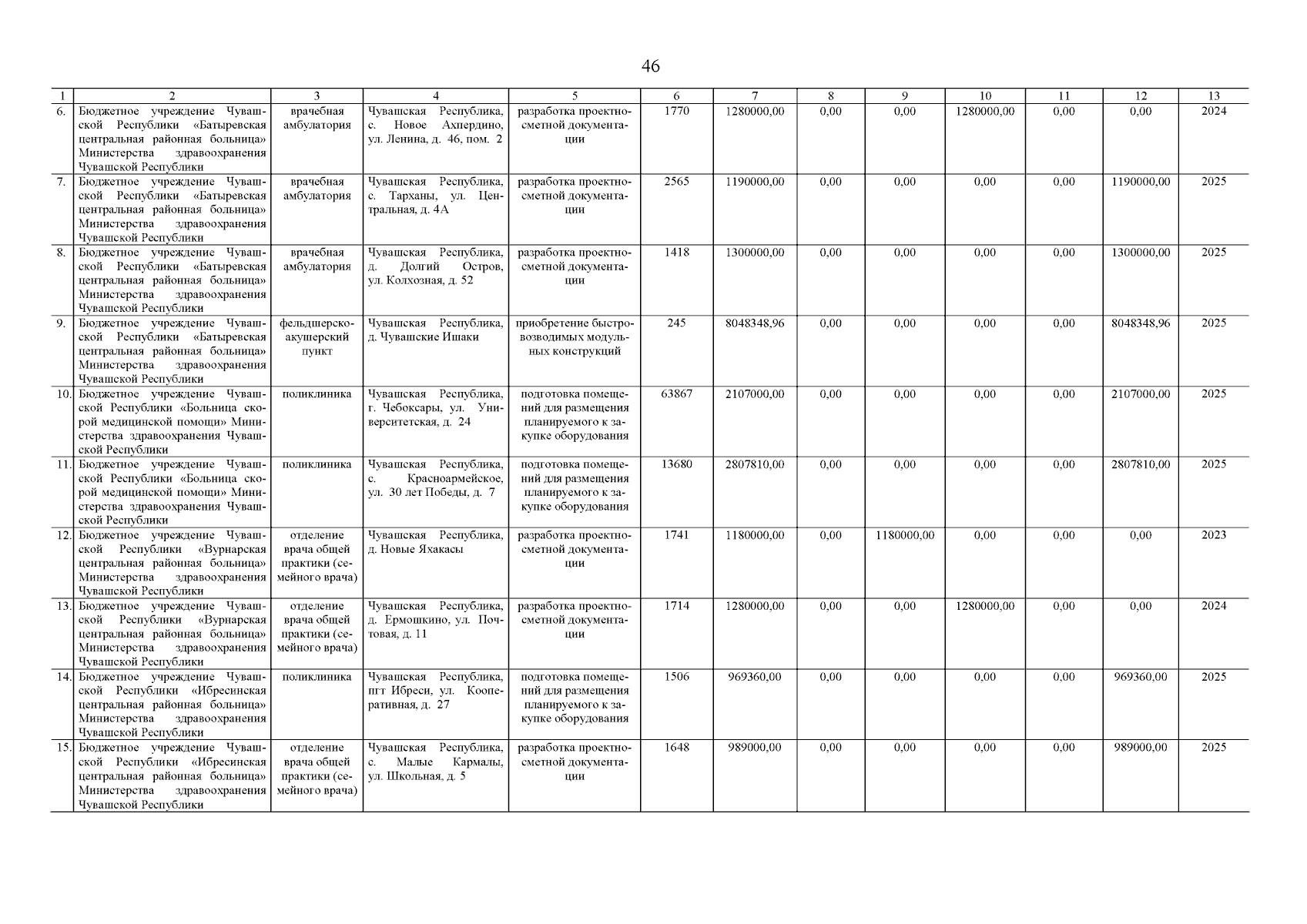
Постановление Кабинета Министров Чувашской Республики от 13.10.2025 № 584
"О внесении изменений в Программу модернизации первичного звена здравоохранения в Чувашской Республике"
Номер опубликования: 2100202510140001
Дата опубликования: 14.10.2025
Страница №47 из 51:
Увеличить