Официальное опубликование правовых актов
ОФИЦИАЛЬНОЕ ОПУБЛИКОВАНИЕ
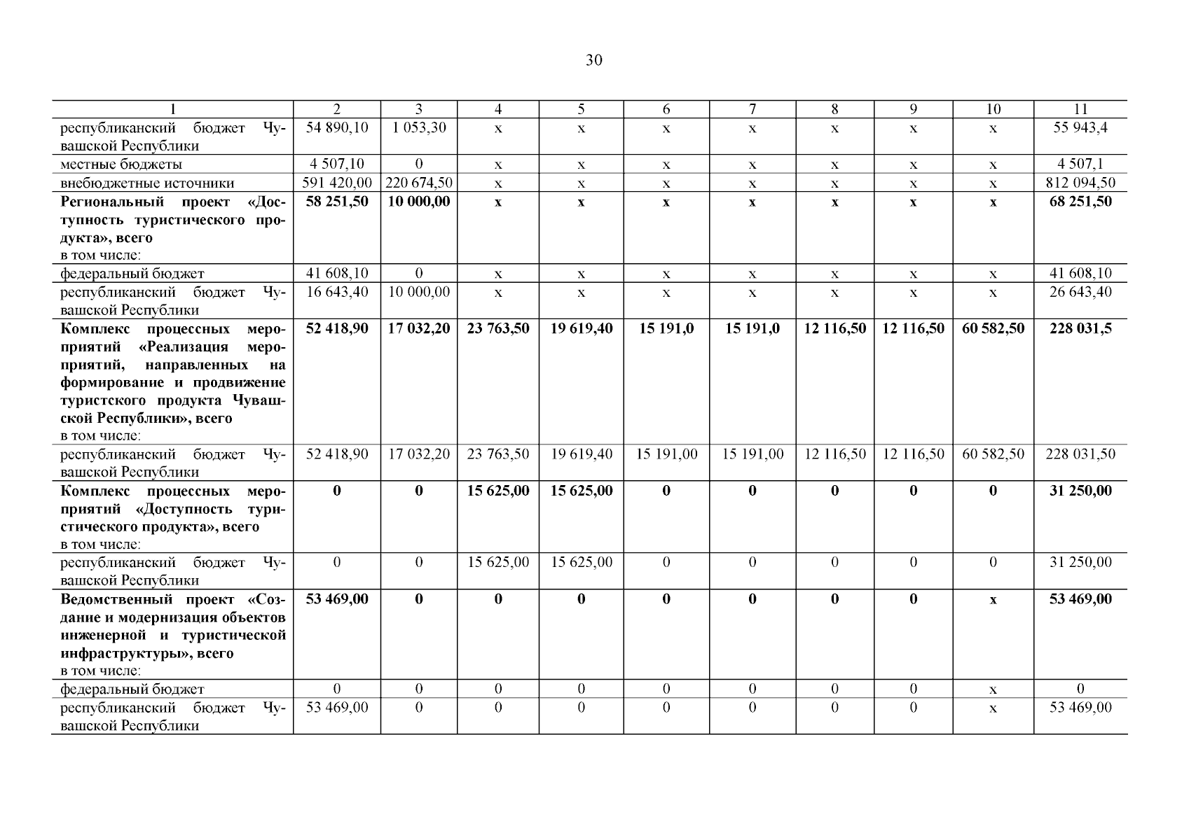
Постановление Кабинета Министров Чувашской Республики от 10.11.2025 № 628
"О внесении изменений в некоторые постановления Кабинета Министров Чувашской Республики"
Номер опубликования: 2100202511130003
Дата опубликования: 13.11.2025
Страница №30 из 37:
Увеличить