Официальное опубликование правовых актов
ОФИЦИАЛЬНОЕ ОПУБЛИКОВАНИЕ
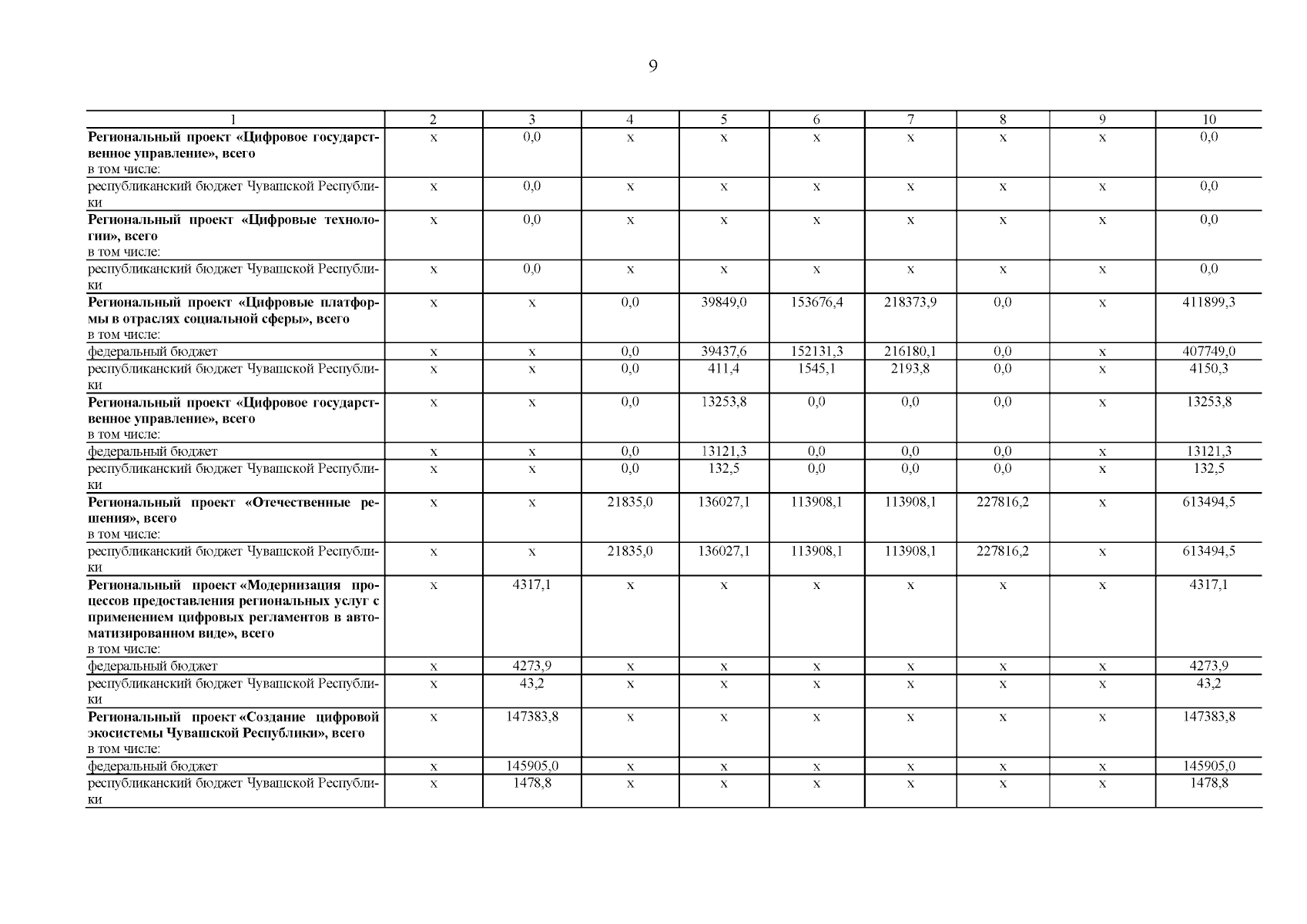
Постановление Кабинета Министров Чувашской Республики от 14.11.2025 № 651
"О внесении изменений в государственную программу Чувашской Республики "Цифровое общество Чувашии"
Номер опубликования: 2100202511140014
Дата опубликования: 14.11.2025
Страница №10 из 25:
Увеличить