Официальное опубликование правовых актов
ОФИЦИАЛЬНОЕ ОПУБЛИКОВАНИЕ
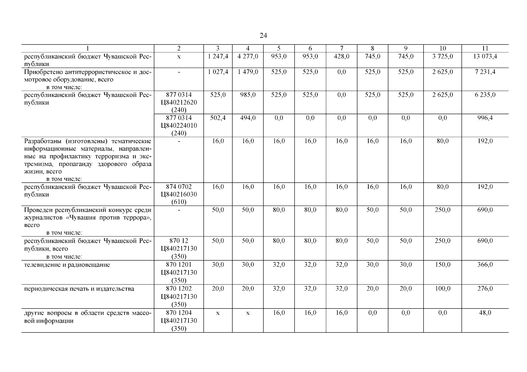
Постановление Кабинета Министров Чувашской Республики от 01.12.2025 № 681
"О внесении изменений в государственную программу Чувашской Республики "Повышение безопасности жизнедеятельности населения и территорий Чувашской Республики"
Номер опубликования: 2100202512020003
Дата опубликования: 02.12.2025
Страница №25 из 29:
Увеличить