Официальное опубликование правовых актов
ОФИЦИАЛЬНОЕ ОПУБЛИКОВАНИЕ
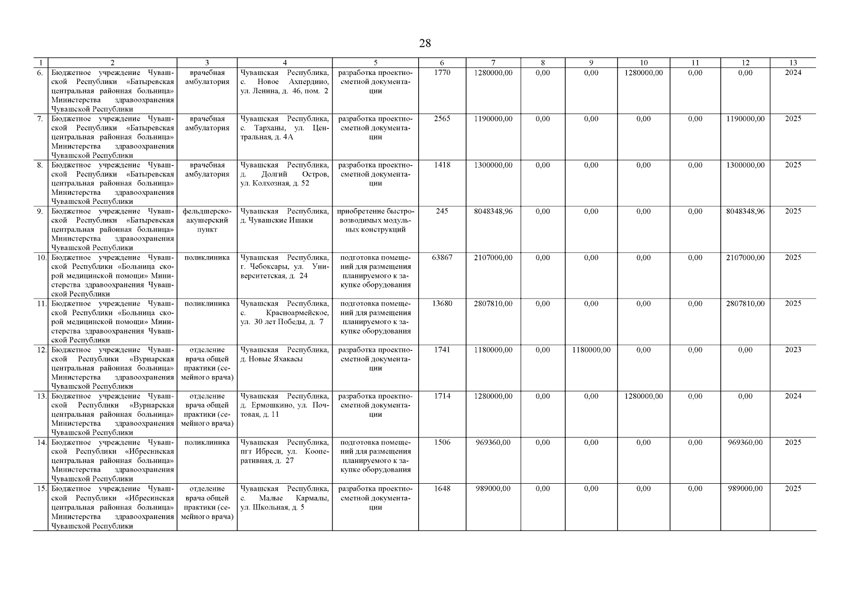
Постановление Кабинета Министров Чувашской Республики от 04.12.2025 № 691
"О внесении изменений в Программу модернизации первичного звена здравоохранения в Чувашской Республике"
Номер опубликования: 2100202512050006
Дата опубликования: 05.12.2025
Страница №29 из 33:
Увеличить