Официальное опубликование правовых актов
ОФИЦИАЛЬНОЕ ОПУБЛИКОВАНИЕ
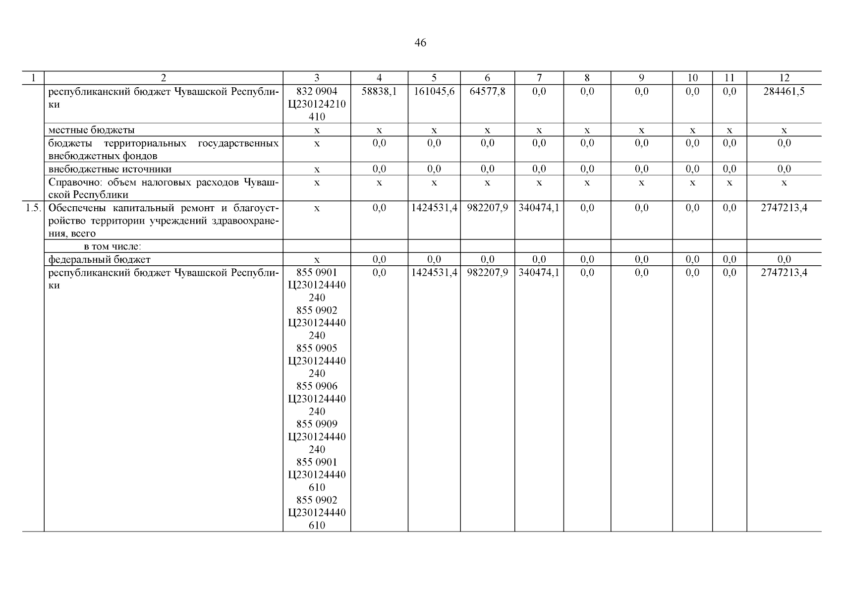
Постановление Кабинета Министров Чувашской Республики от 10.12.2025 № 701
"О внесении изменений в государственную программу Чувашской Республики "Развитие здравоохранения"
Номер опубликования: 2100202512110002
Дата опубликования: 11.12.2025
Страница №47 из 136:
Увеличить