Официальное опубликование правовых актов
ОФИЦИАЛЬНОЕ ОПУБЛИКОВАНИЕ
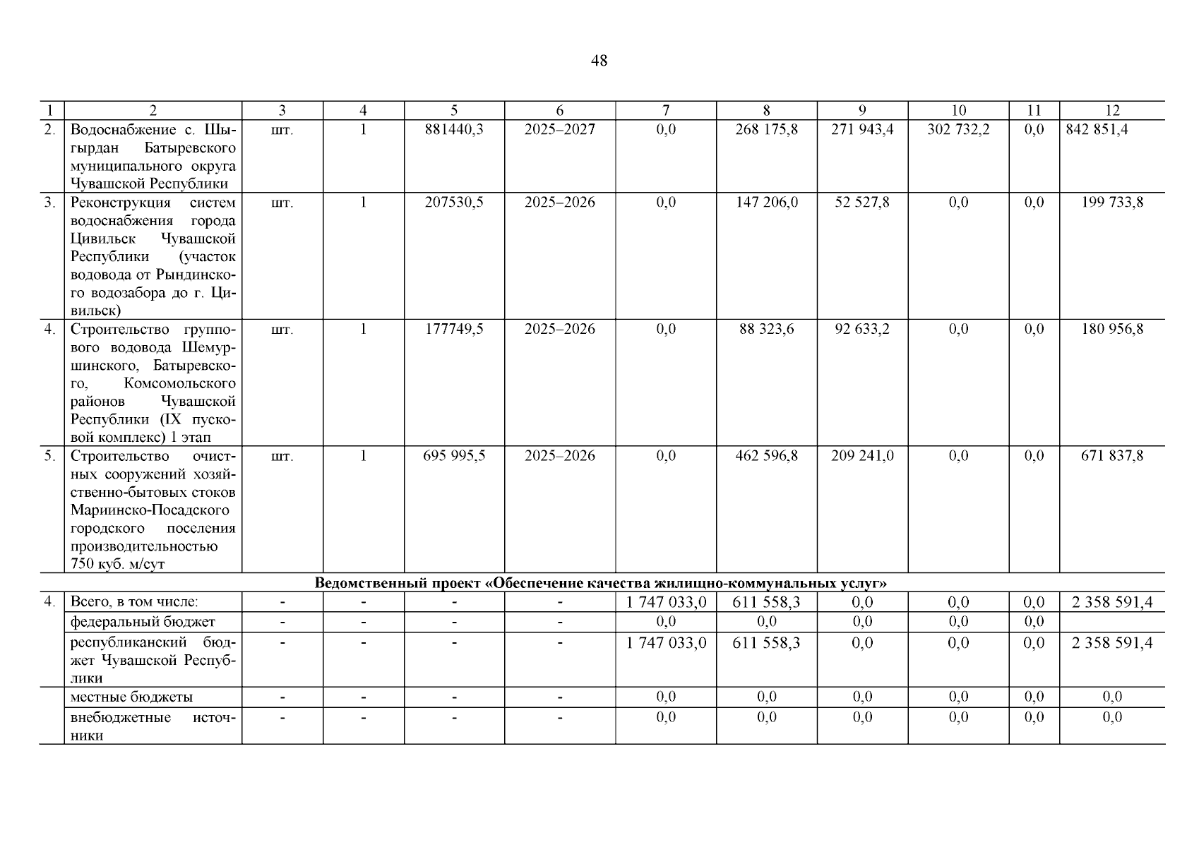
Постановление Кабинета Министров Чувашской Республики от 10.12.2025 № 705
"О внесении изменений в государственную программу Чувашской Республики "Модернизация и развитие сферы жилищно-коммунального хозяйства"
Номер опубликования: 2100202512110005
Дата опубликования: 11.12.2025
Страница №49 из 69:
Увеличить