Официальное опубликование правовых актов
ОФИЦИАЛЬНОЕ ОПУБЛИКОВАНИЕ
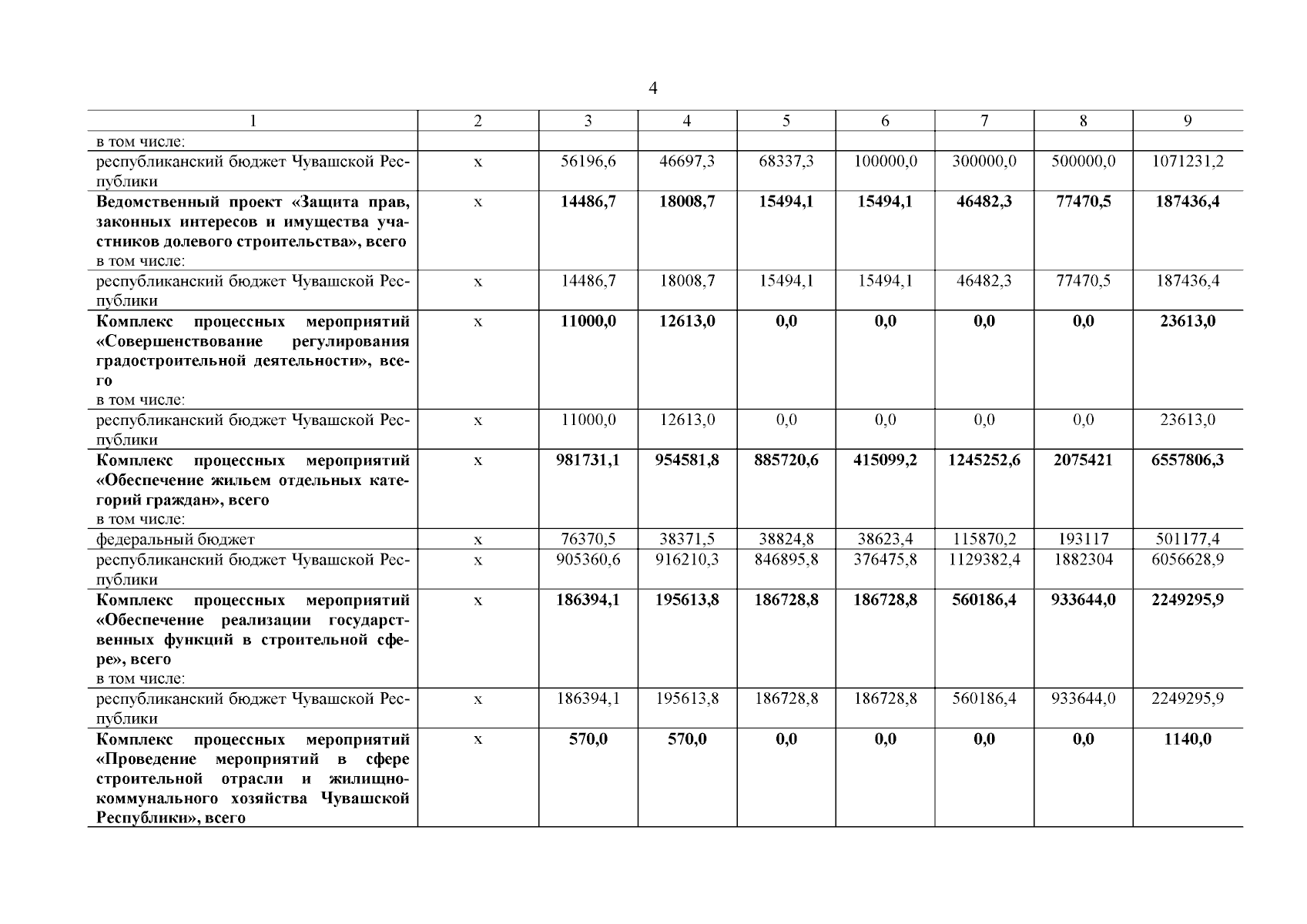
Постановление Кабинета Министров Чувашской Республики от 18.12.2025 № 729
"О внесении изменений в государственную программу Чувашской Республики "Обеспечение граждан в Чувашской Республике доступным и комфортным жильем"
Номер опубликования: 2100202512180005
Дата опубликования: 18.12.2025
Страница №5 из 10:
Увеличить