Официальное опубликование правовых актов
ОФИЦИАЛЬНОЕ ОПУБЛИКОВАНИЕ
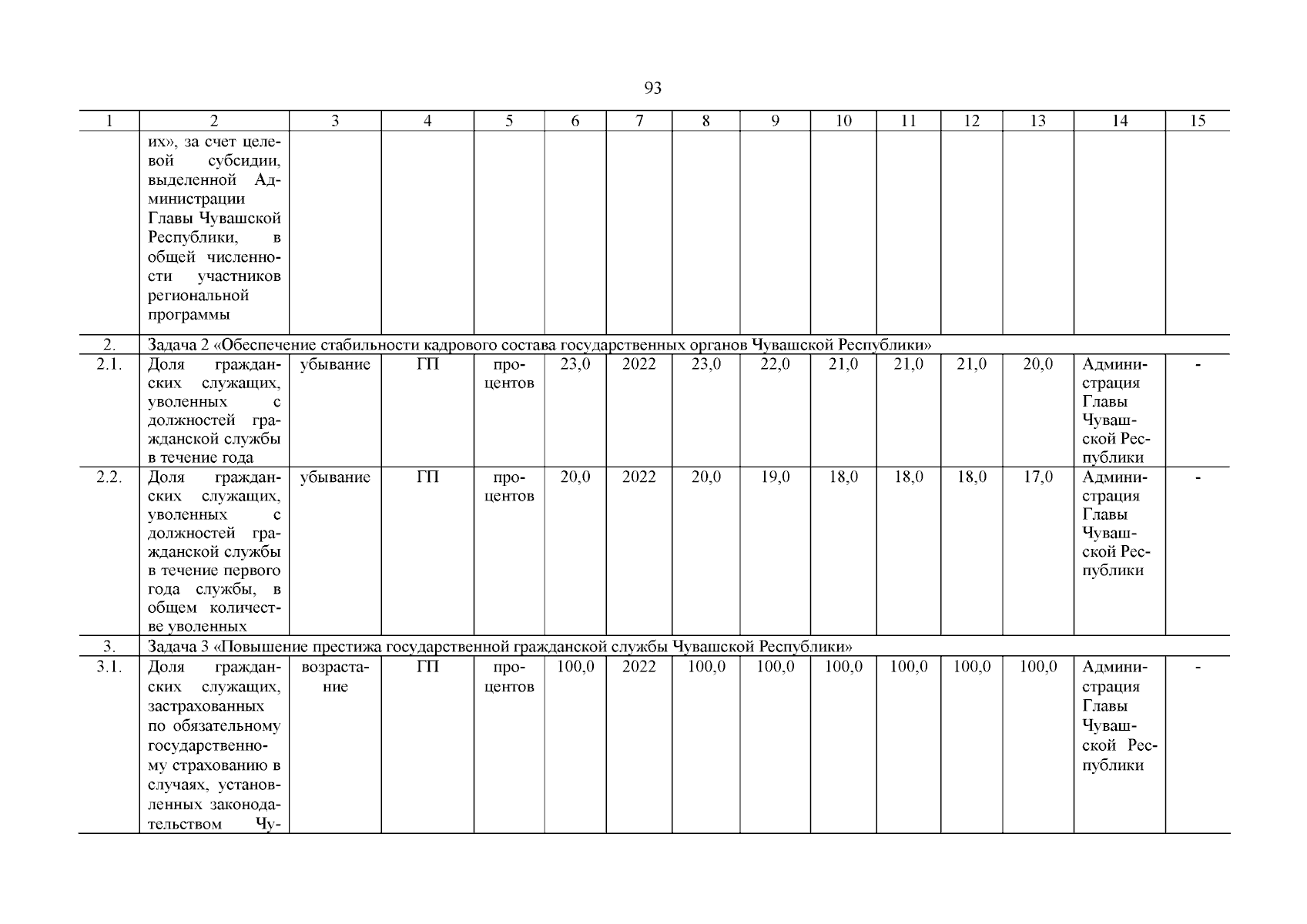
Постановление Кабинета Министров Чувашской Республики от 25.12.2025 № 774
"О внесении изменений в государственную программу Чувашской Республики "Развитие потенциала государственного управления"
Номер опубликования: 2100202512260009
Дата опубликования: 26.12.2025
Страница №94 из 128:
Увеличить