Официальное опубликование правовых актов
ОФИЦИАЛЬНОЕ ОПУБЛИКОВАНИЕ
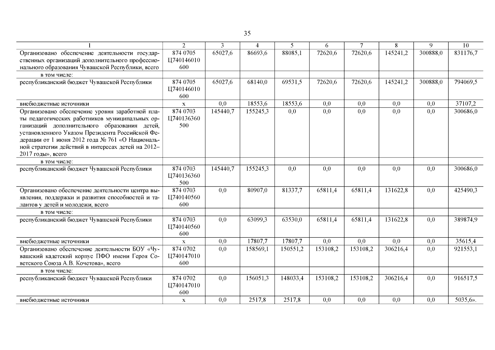
Постановление Кабинета Министров Чувашской Республики от 26.01.2026 № 15
"О внесении изменений в государственную программу Чувашской Республики "Развитие образования"
Номер опубликования: 2100202601260004
Дата опубликования: 26.01.2026
Страница №36 из 184:
Увеличить