Официальное опубликование правовых актов
ОФИЦИАЛЬНОЕ ОПУБЛИКОВАНИЕ
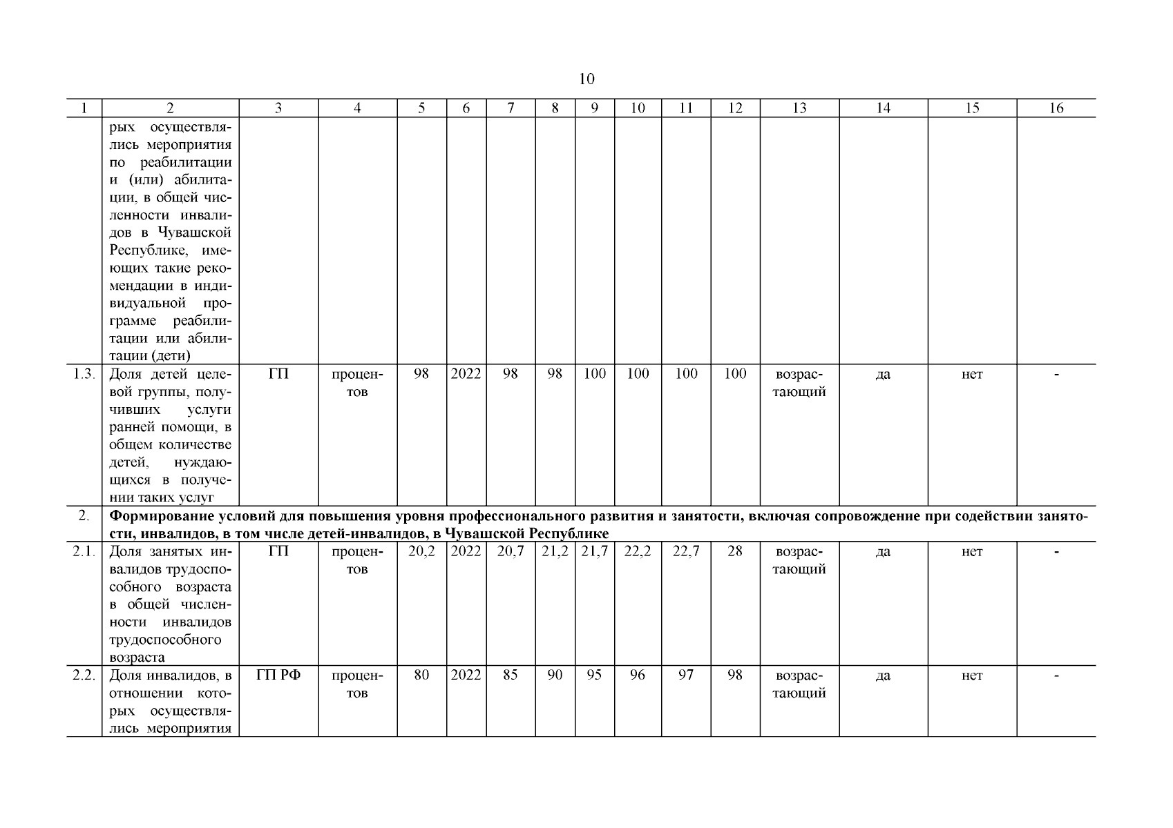
Постановление Кабинета Министров Чувашской Республики от 28.01.2026 № 25
"О внесении изменений в государственную программу Чувашской Республики "Доступная среда"
Номер опубликования: 2100202601290001
Дата опубликования: 29.01.2026
Страница №11 из 59:
Увеличить