Официальное опубликование правовых актов
ОФИЦИАЛЬНОЕ ОПУБЛИКОВАНИЕ
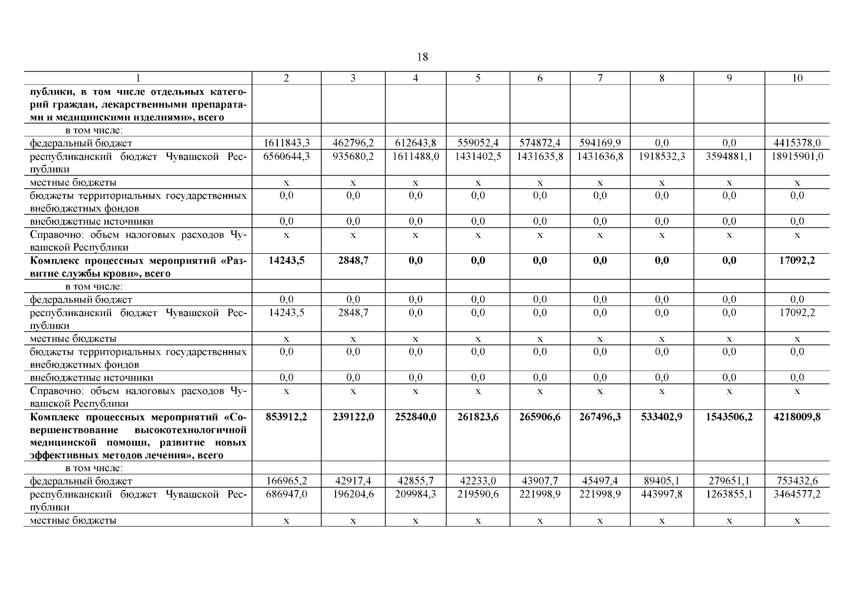
Постановление Кабинета Министров Чувашской Республики от 30.01.2026 № 41
"О внесении изменений в постановление Кабинета Министров Чувашской Республики от 19 ноября 2018 г. № 461"
Номер опубликования: 2100202602030001
Дата опубликования: 03.02.2026
Страница №19 из 124:
Увеличить