Официальное опубликование правовых актов
ОФИЦИАЛЬНОЕ ОПУБЛИКОВАНИЕ
Постановление Кабинета Министров Чувашской Республики от 25.02.2026 № 79
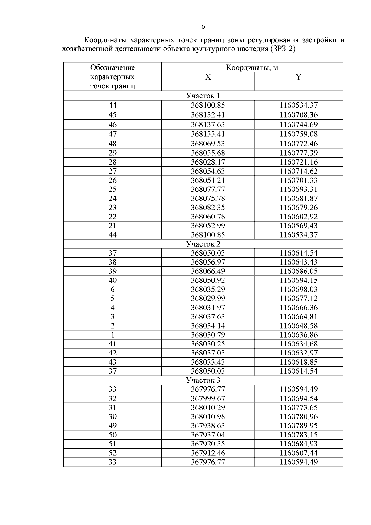
"Об установлении зон охраны объекта культурного наследия (памятника истории и культуры) регионального (республиканского) значения "Церковь, 1795 г., 1912–1915 гг.", 1795 г., 1912–1915 гг., и утверждении требований к градостроительным регламентам в границах территорий данных зон"
Номер опубликования: 2100202602250011
Дата опубликования: 25.02.2026
Страница №8 из 13:
Увеличить