Официальное опубликование правовых актов
ОФИЦИАЛЬНОЕ ОПУБЛИКОВАНИЕ
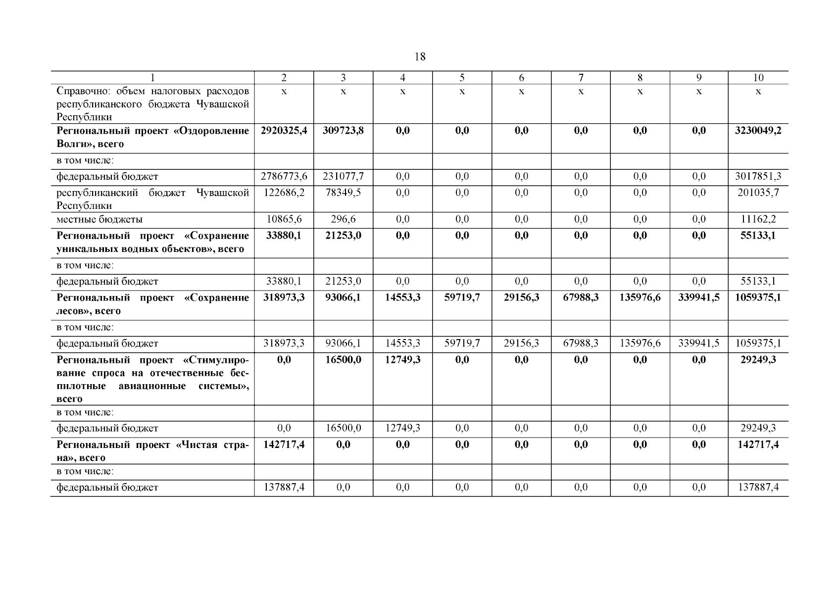
Постановление Кабинета Министров Чувашской Республики от 25.03.2026 № 139
"О внесении изменений в государственную программу Чувашской Республики "Развитие потенциала природно-сырьевых ресурсов и обеспечение экологической безопасности"
Номер опубликования: 2100202603260009
Дата опубликования: 26.03.2026
Страница №19 из 70:
Увеличить