Официальное опубликование правовых актов
ОФИЦИАЛЬНОЕ ОПУБЛИКОВАНИЕ
Приказ Министерства культуры, по делам национальностей и архивного дела Чувашской Республики от 20.11.2018 № 01-07/473
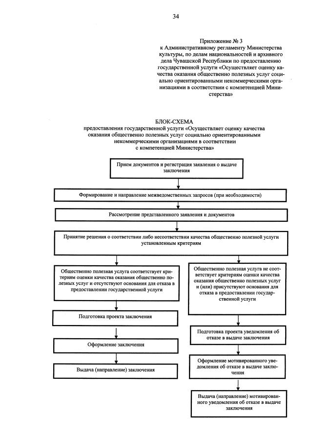
"Об утверждении Административного регламента Министерства культуры, по делам национальностей и архивного дела Чувашской Республики по предоставлению государственной услуги "Осуществляет оценку качества оказания общественно полезных услуг социально ориентированными некоммерческими организациями в соответствии с компетенцией Министерства"
(Зарегистрирован 11.12.2018 № 4897)
Номер опубликования: 2101201812140012
Дата опубликования: 14.12.2018
Страница №34 из 34:
Увеличить