Официальное опубликование правовых актов
ОФИЦИАЛЬНОЕ ОПУБЛИКОВАНИЕ
Постановление Государственной службы Чувашской Республики по конкурентной политике и тарифам от 13.12.2018 № 129-30-32/гв
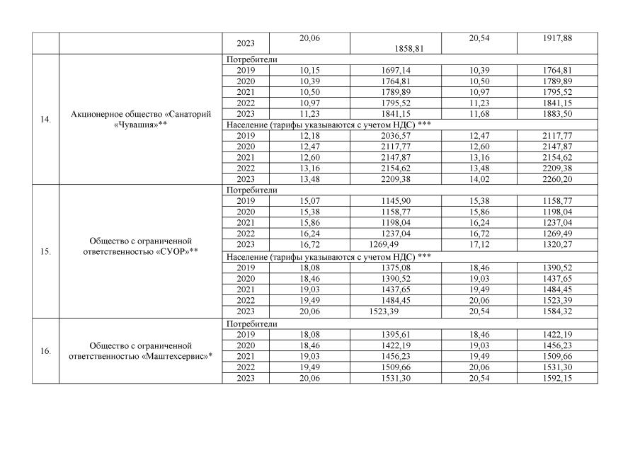
"Об установлении тарифов на горячую воду, поставляемую организациями, осуществляющими горячее водоснабжение с использованием закрытых систем горячего водоснабжения, потребителям в Чувашской Республике, на 2019-2023 годы"
(Зарегистрирован 18.12.2018 № 4979)
Номер опубликования: 2101201812190017
Дата опубликования: 19.12.2018
Страница №9 из 12:
Увеличить