Официальное опубликование правовых актов
ОФИЦИАЛЬНОЕ ОПУБЛИКОВАНИЕ
Приказ Министерства культуры, по делам национальностей и архивного дела Чувашской Республики от 03.11.2020 № 01-07/774
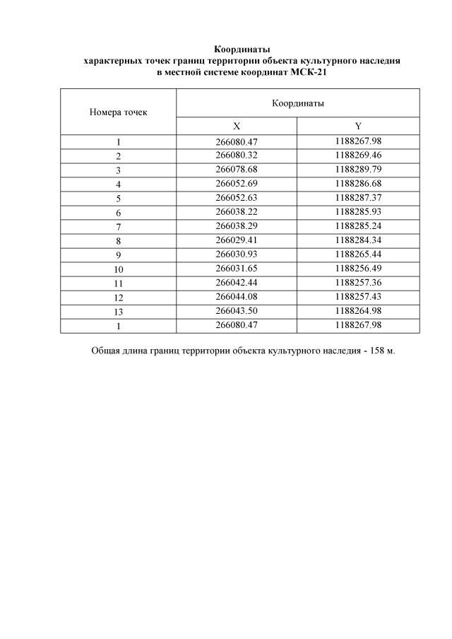
"Об утверждении границ и режима использования территории объекта культурного наследия (памятника истории и культуры) регионального (республиканского) значения "Каменное трехэтажное здание бывшей винополии, 1896 г.", расположенного по адресу: Чувашская Республика, г. Алатырь, ул. Первомайская, д. 48"
(Зарегистрирован 26.11.2020 № 6453)
Номер опубликования: 2101202011270017
Дата опубликования: 27.11.2020
Страница №3 из 5:
Увеличить