Приказ Министерства культуры, по делам национальностей и архивного дела Чувашской Республики от 18.07.2024 № 01-05/374
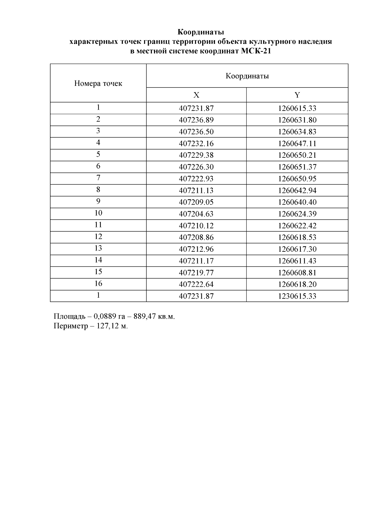
"Об утверждении границ использования территории объекта культурного наследия (памятника истории и культуры) регионального (республиканского) значения "Казанско-Богородицкая церковь", 1761 г., расположенного по адресу: Чувашская Республика, Мариинско-Посадский муниципальный округ, г. Мариинский Посад, ул. Нахимова, д. 14, входящего в состав объекта культурного наследия регионального (республиканского) значения "Ансамбль Казанской церкви", XVIII в."
(Зарегистрирован 08.08.2024 № 9522)
"Об утверждении границ использования территории объекта культурного наследия (памятника истории и культуры) регионального (республиканского) значения "Казанско-Богородицкая церковь", 1761 г., расположенного по адресу: Чувашская Республика, Мариинско-Посадский муниципальный округ, г. Мариинский Посад, ул. Нахимова, д. 14, входящего в состав объекта культурного наследия регионального (республиканского) значения "Ансамбль Казанской церкви", XVIII в."
(Зарегистрирован 08.08.2024 № 9522)
Номер опубликования: 2101202408090021
Дата опубликования:
09.08.2024
