Официальное опубликование правовых актов
ОФИЦИАЛЬНОЕ ОПУБЛИКОВАНИЕ
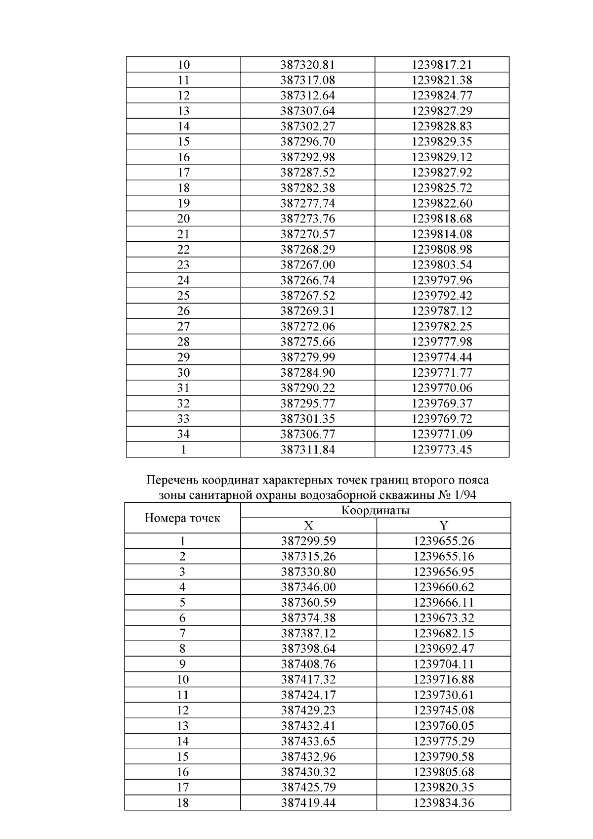
Приказ Министерства природных ресурсов и экологии Чувашской Республики от 27.09.2024 № 652
"Об установлении зоны санитарной охраны водозаборной скважины № 1/94, расположенной на северо-западной окраине д. Янзакасы Цивильского муниципального округа Чувашской Республики"
(Зарегистрирован 10.10.2024 № 9648)
Номер опубликования: 2101202410140001
Дата опубликования: 14.10.2024
Страница №3 из 6:
Увеличить