Официальное опубликование правовых актов
ОФИЦИАЛЬНОЕ ОПУБЛИКОВАНИЕ
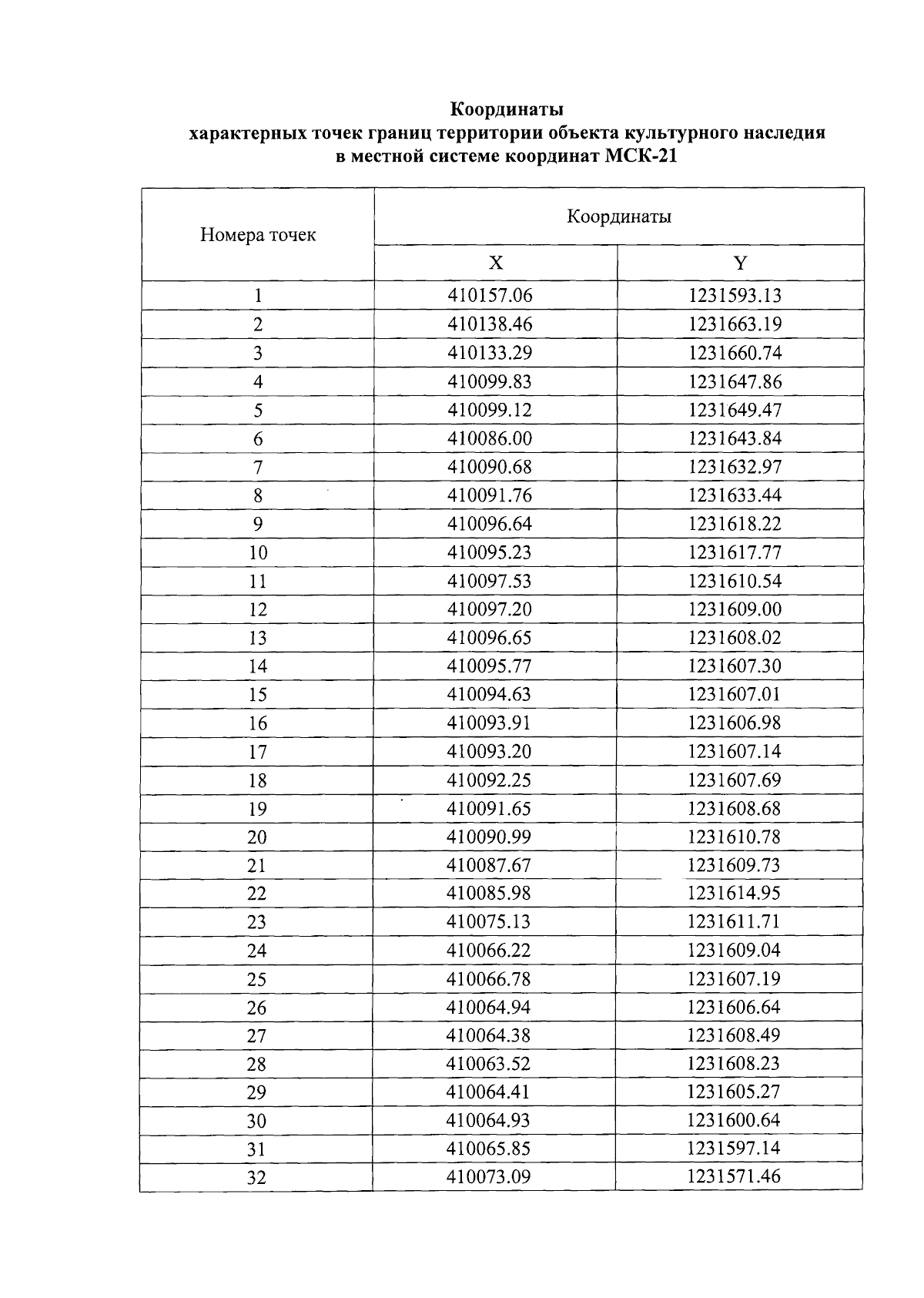
Приказ Министерства культуры, по делам национальностей и архивного дела Чувашской Республики от 22.10.2024 № 01-05/545
"Об утверждении границ территории объекта культурного наследия (памятника истории и культуры) регионального (республиканского) значения "Каменный двухэтажный дом с подвалами", первая половина XIX в., расположенного по адресу: Чувашская Республика, г. Чебоксары, площадь Красная, д. 5/2"
(Зарегистрирован 13.11.2024 № 9706)
Номер опубликования: 2101202411150004
Дата опубликования: 15.11.2024
Страница №3 из 6:
Увеличить