Официальное опубликование правовых актов
ОФИЦИАЛЬНОЕ ОПУБЛИКОВАНИЕ
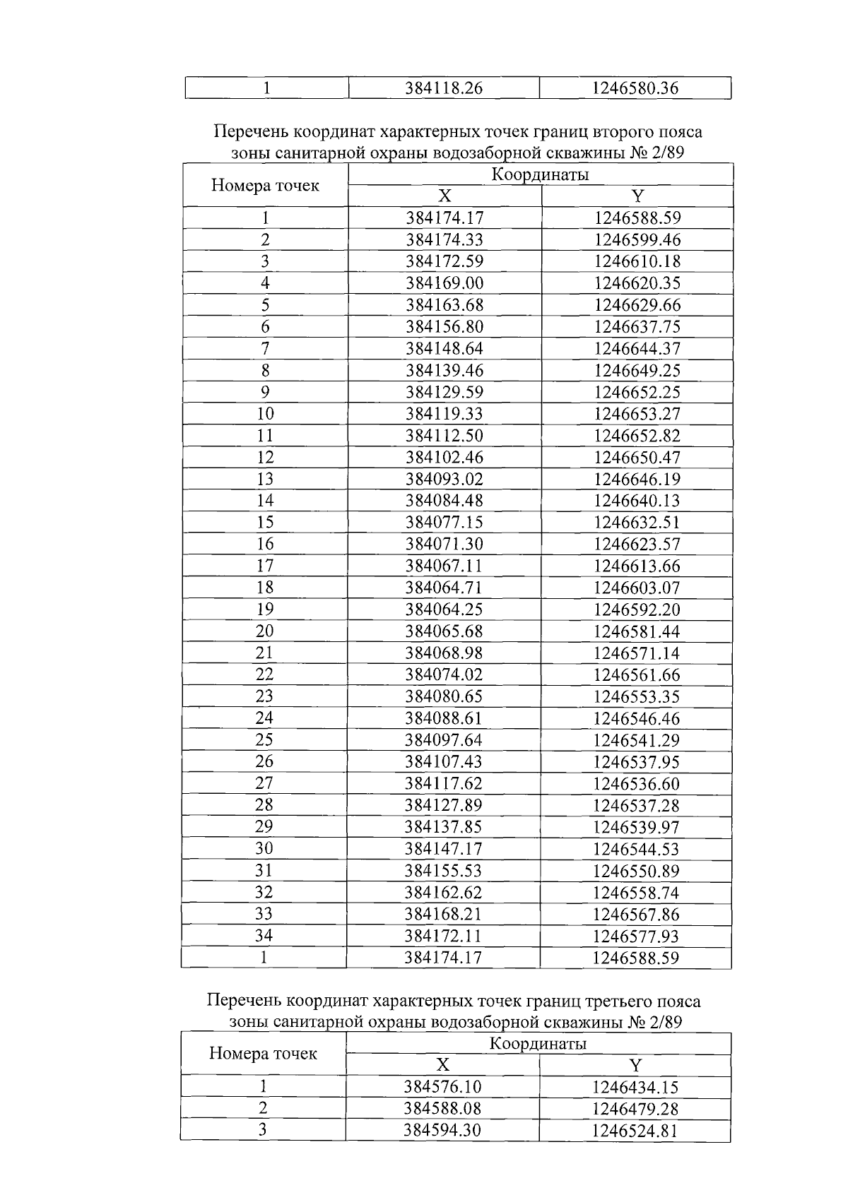
Приказ Министерства природных ресурсов и экологии Чувашской Республики от 21.10.2024 № 701
"Об установлении зон санитарной охраны двух водозаборных скважин, расположенных в д. Тувси Цивильского муниципального округа Чувашской Республики"
(Зарегистрирован 13.11.2024 № 9702)
Номер опубликования: 2101202411180002
Дата опубликования: 18.11.2024
Страница №6 из 8:
Увеличить