Приказ Министерства культуры, по делам национальностей и архивного дела Чувашской Республики от 22.10.2024 № 01-05/555
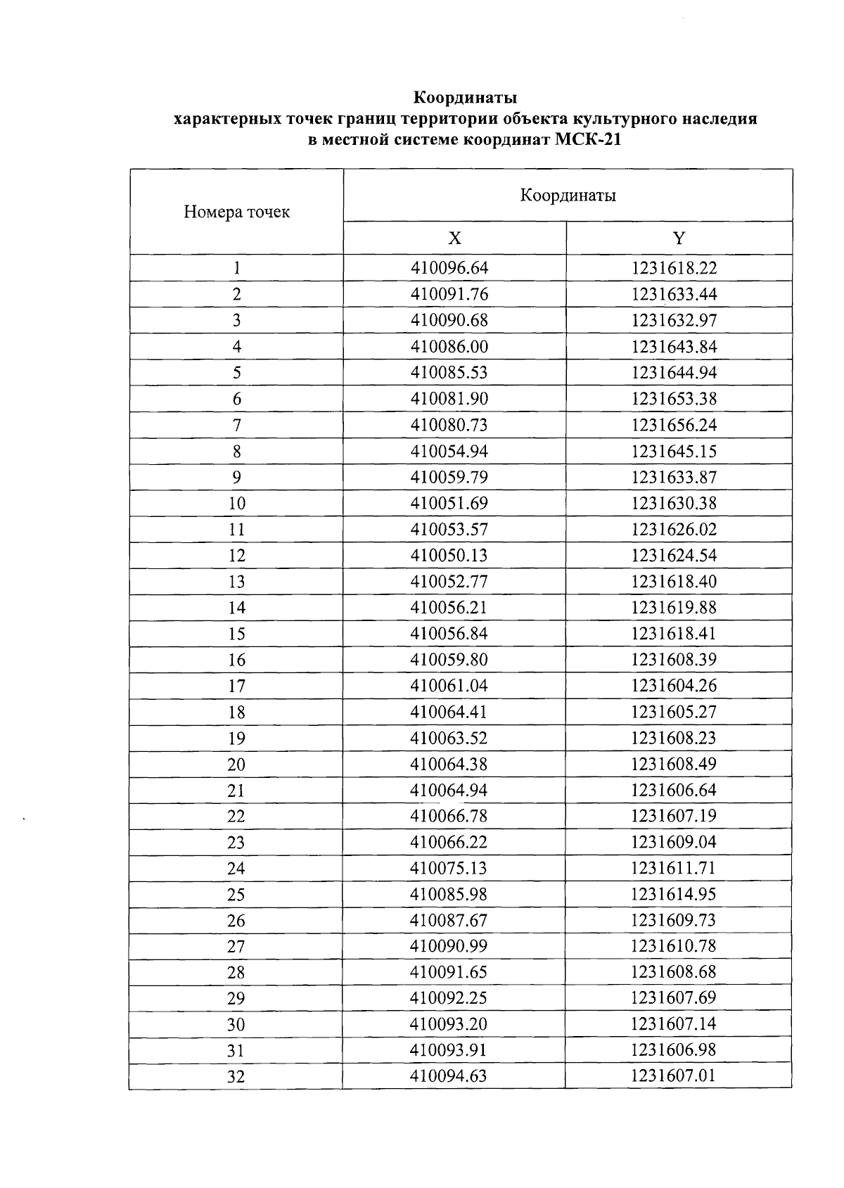
"Об утверждении границ территории объекта культурного наследия (памятника истории и культуры) регионального (республиканского) значения "Каменный двухэтажный дом с подвалами", XVIII-XX вв., расположенного по адресу: Чувашская Республика, г. Чебоксары, бульвар Купца Ефремова, д. 8"
(Зарегистрирован 13.11.2024 № 9711)
"Об утверждении границ территории объекта культурного наследия (памятника истории и культуры) регионального (республиканского) значения "Каменный двухэтажный дом с подвалами", XVIII-XX вв., расположенного по адресу: Чувашская Республика, г. Чебоксары, бульвар Купца Ефремова, д. 8"
(Зарегистрирован 13.11.2024 № 9711)
Номер опубликования: 2101202411180003
Дата опубликования:
18.11.2024
