Официальное опубликование правовых актов
ОФИЦИАЛЬНОЕ ОПУБЛИКОВАНИЕ
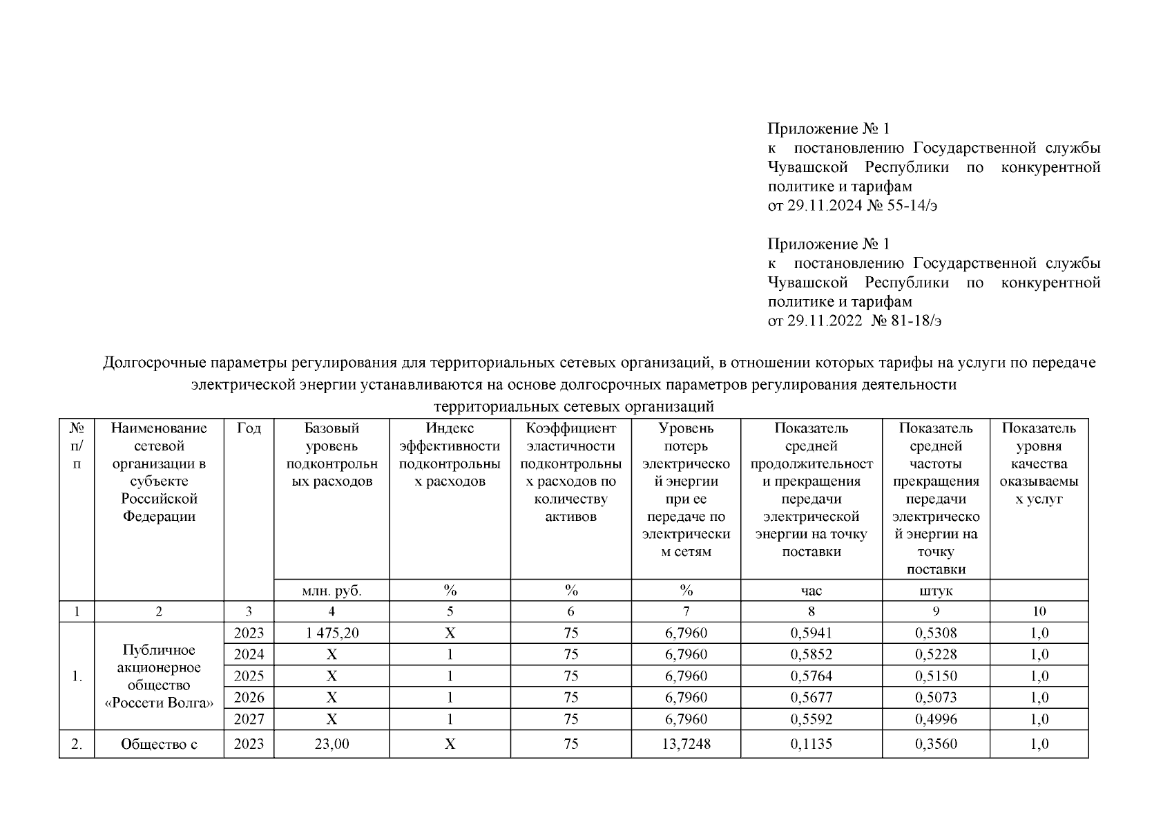
Постановление Государственной службы Чувашской Республики по конкурентной политике и тарифам от 29.11.2024 № 55 - 14/э
"О внесении изменений в постановление Государственной службы Чувашской Республики по конкурентной политике и тарифам от 29 ноября 2022 г. № 81-18/э"
(Зарегистрирован 12.12.2024 № 9824)
Номер опубликования: 2101202412130006
Дата опубликования: 13.12.2024
Страница №2 из 5:
Увеличить