Приказ Министерства природных ресурсов и экологии Чувашской Республики от 15.07.2025 № 555
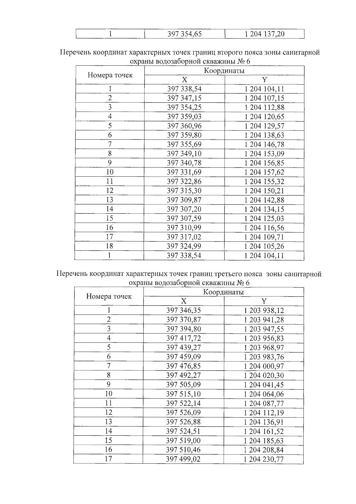
"Об установлении зоны санитарной охраны водозаборной скважины № 6, расположенной в д. Синьял-Оринино Моргаушского муниципального округа Чувашской Республики"
(Зарегистрирован 08.08.2025 № 10553)
"Об установлении зоны санитарной охраны водозаборной скважины № 6, расположенной в д. Синьял-Оринино Моргаушского муниципального округа Чувашской Республики"
(Зарегистрирован 08.08.2025 № 10553)
Номер опубликования: 2101202508130001
Дата опубликования:
13.08.2025
