Официальное опубликование правовых актов
ОФИЦИАЛЬНОЕ ОПУБЛИКОВАНИЕ
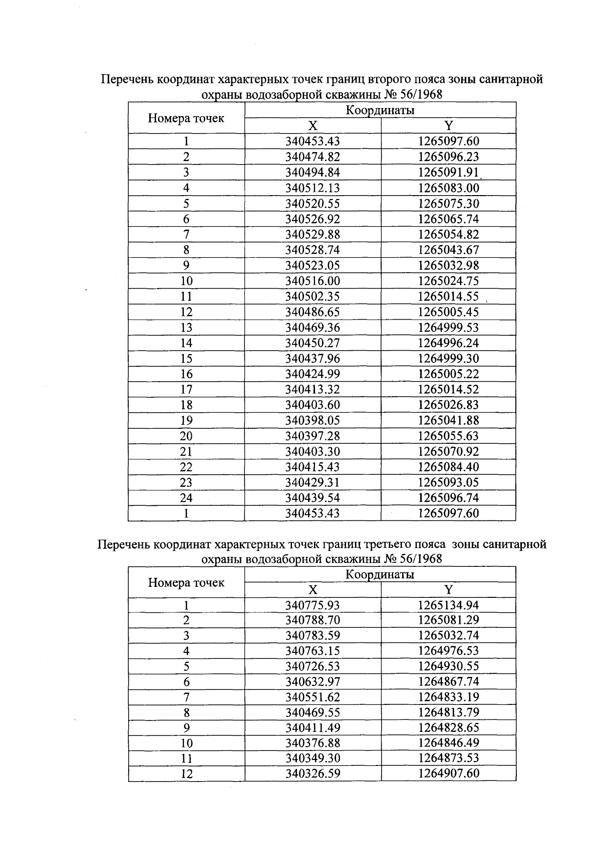
Приказ Министерства природных ресурсов и экологии Чувашской Республики от 12.09.2025 № 686
"Об установлении зоны санитарной охраны водозаборной скважины № 56/1968, расположенной на ул. Кирова, с. Янтиково Янтиковского муниципального округа Чувашской Республики"
(Зарегистрирован 23.09.2025 № 10652)
Номер опубликования: 2101202509260006
Дата опубликования: 26.09.2025
Страница №3 из 4:
Увеличить