Официальное опубликование правовых актов
ОФИЦИАЛЬНОЕ ОПУБЛИКОВАНИЕ
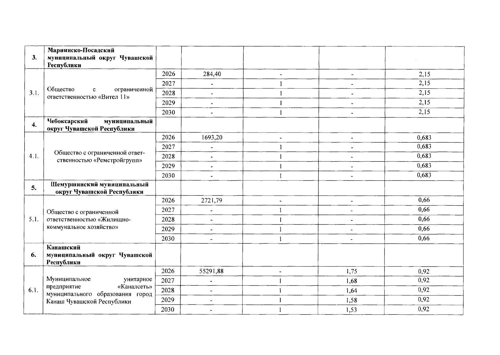
Постановление Государственной службы Чувашской Республики по конкурентной политике и тарифам от 16.12.2025 № 104-17-22/в
"Об установлении долгосрочных параметров регулирования тарифов и тарифов в сфере холодного водоснабжения и водоотведения на 2026-2030 годы"
(Зарегистрирован 19.12.2025 № 10875)
Номер опубликования: 2101202512220017
Дата опубликования: 22.12.2025
Страница №11 из 14:
Увеличить