Официальное опубликование правовых актов
ОФИЦИАЛЬНОЕ ОПУБЛИКОВАНИЕ
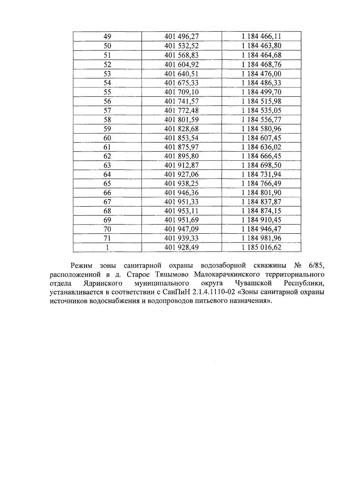
Приказ Министерства природных ресурсов и экологии Чувашской Республики от 19.03.2026 № 169
"Об установлении зоны санитарной охраны водозаборной скважины № 6/85, расположенной в д. Старое Тянымово Малокарачкинского территориального отдела Ядринского муниципального округа Чувашской Республики"
(Зарегистрирован 07.04.2026 № 11082)
Номер опубликования: 2101202604100006
Дата опубликования: 10.04.2026
Страница №5 из 5:
Увеличить