Приказ Министерства природных ресурсов и экологии Чувашской Республики от 19.03.2026 № 168
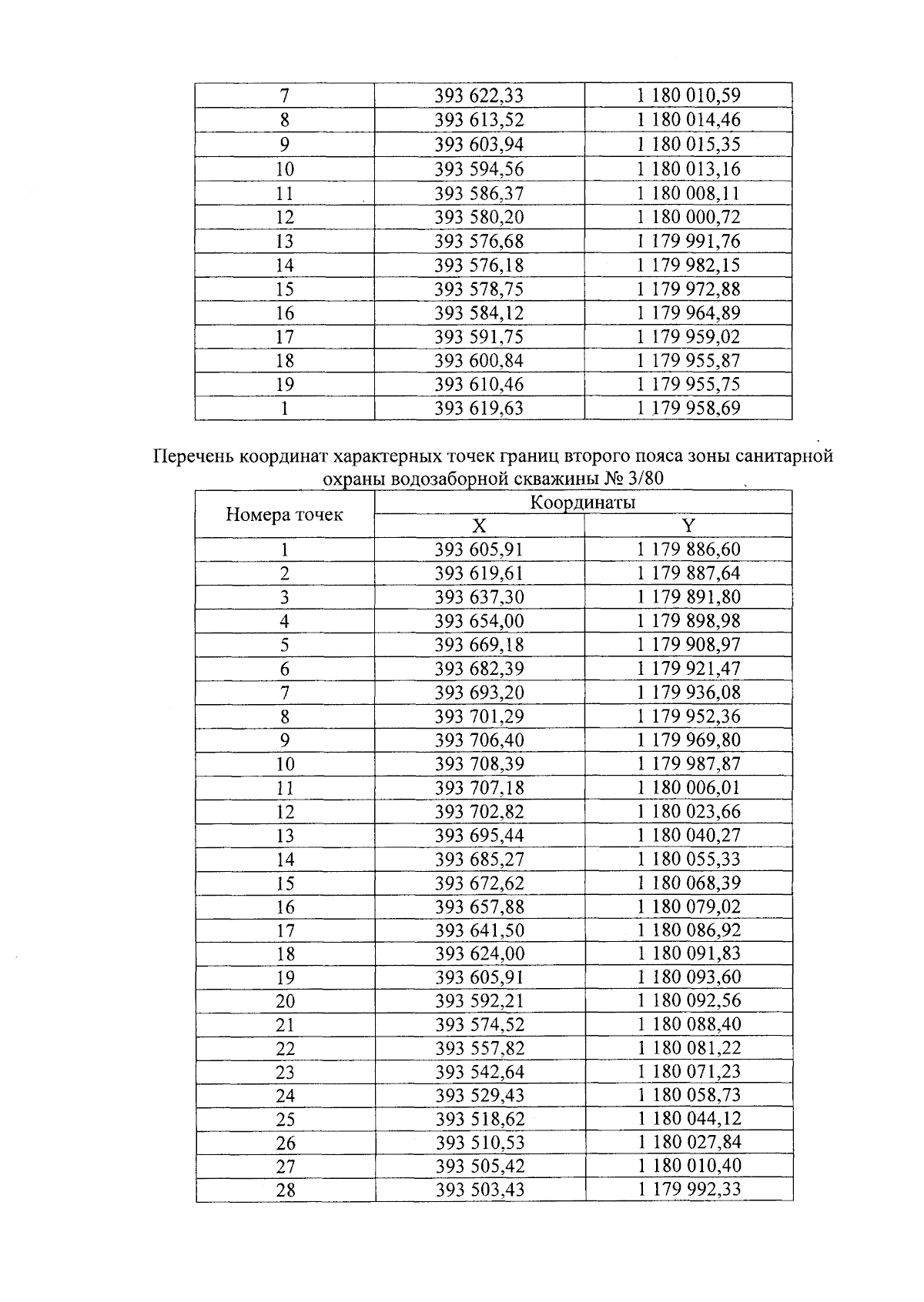
"Об установлении зоны санитарной охраны водозаборной скважины № 3/80, расположенной в с. Ядрино Ядринского территориального отдела Ядринского муниципального округа Чувашской Республики"
(Зарегистрирован 07.04.2026 № 11081)
"Об установлении зоны санитарной охраны водозаборной скважины № 3/80, расположенной в с. Ядрино Ядринского территориального отдела Ядринского муниципального округа Чувашской Республики"
(Зарегистрирован 07.04.2026 № 11081)
Номер опубликования: 2101202604100008
Дата опубликования:
10.04.2026
