Официальное опубликование правовых актов
ОФИЦИАЛЬНОЕ ОПУБЛИКОВАНИЕ
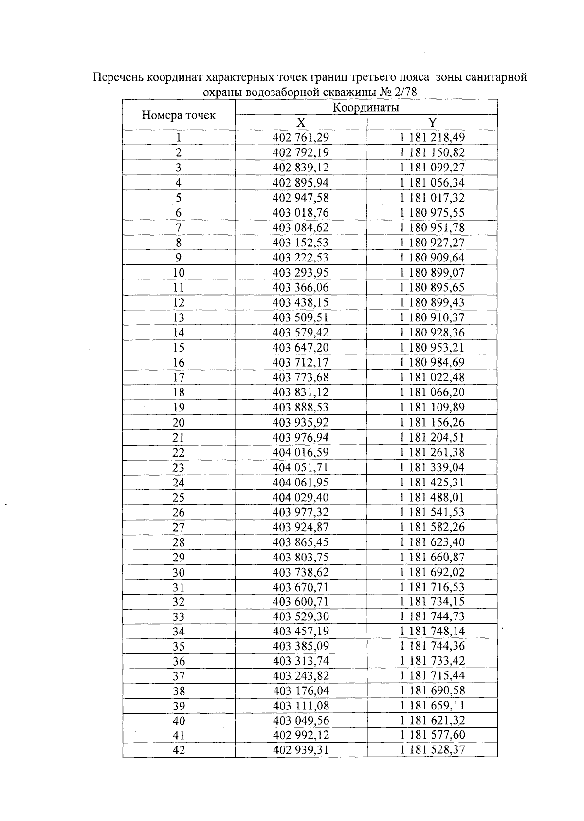
Приказ Министерства природных ресурсов и экологии Чувашской Республики от 19.03.2026 № 171
"Об установлении зоны санитарной охраны водозаборной скважины № 2/78, расположенной в с. Малое Карачкино Малокарачкинского территориального отдела Ядринского муниципального округа Чувашской Республики"
(Зарегистрирован 08.04.2026 № 11088)
Номер опубликования: 2101202604100010
Дата опубликования: 10.04.2026
Страница №4 из 5:
Увеличить