Официальное опубликование правовых актов
ОФИЦИАЛЬНОЕ ОПУБЛИКОВАНИЕ
Приказ Министерства образования Чувашской Республики от 24.03.2026 № 335
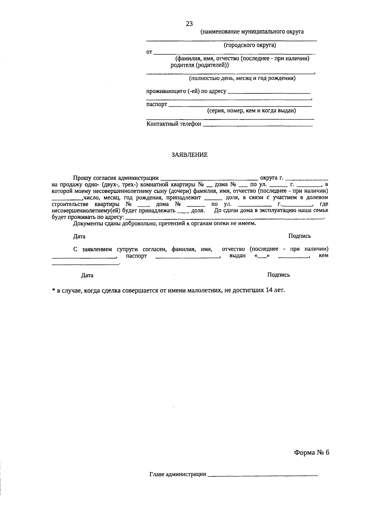
"Об утверждении Административного регламента предоставления органами местного самоуправления в Чувашской Республике, наделенными отдельными государственными полномочиями Чувашской Республики по организации и осуществлению деятельности по опеке и попечительству, государственной услуги "Предварительное разрешение на совершение от имени несовершеннолетних (малолетних) подопечных сделок в случаях, предусмотренных законом"
(Зарегистрирован 08.04.2026 № 11085)
Номер опубликования: 2101202604140004
Дата опубликования: 14.04.2026
Страница №23 из 31:
Увеличить