Официальное опубликование правовых актов
ОФИЦИАЛЬНОЕ ОПУБЛИКОВАНИЕ
Приказ Министерства образования Чувашской Республики от 03.04.2026 № 380
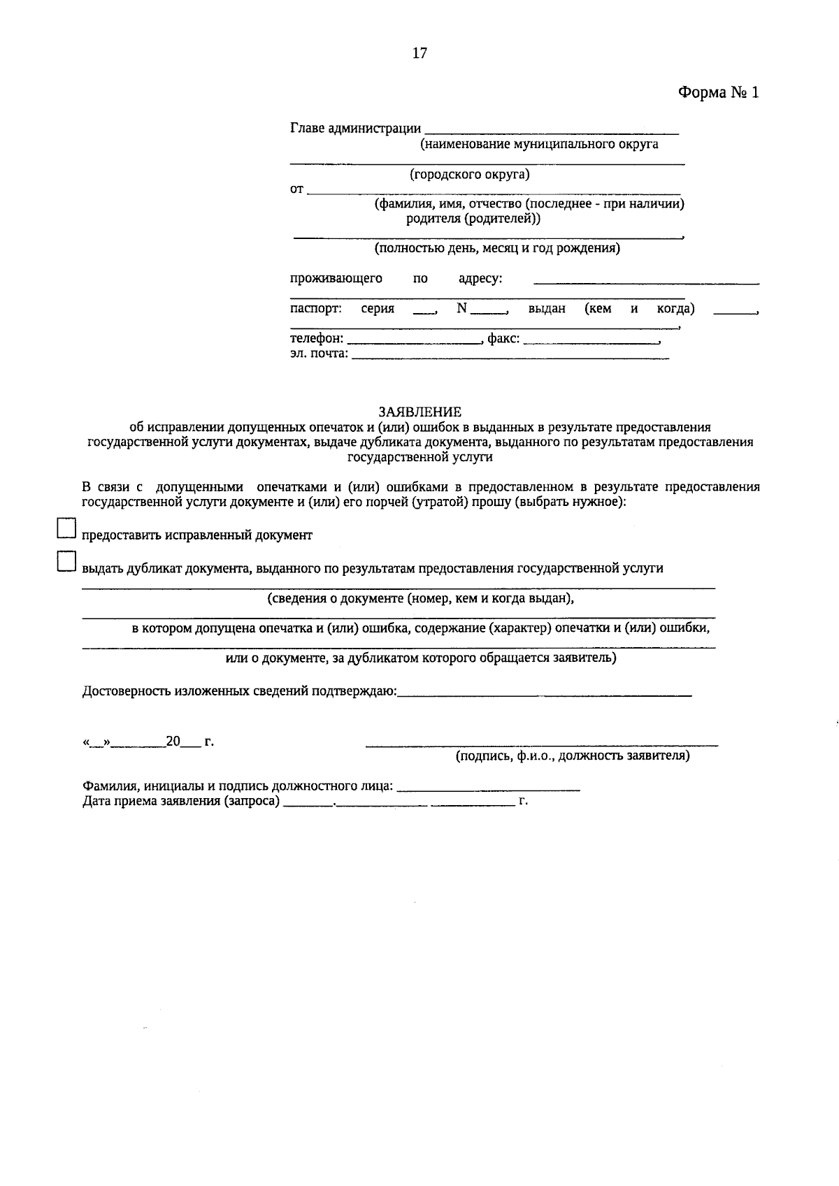
"Об утверждении Административного регламента предоставления органами местного самоуправления в Чувашской Республике, наделенными отдельными государственными полномочиями Чувашской Республики по организации и осуществлению деятельности по опеке и попечительству, государственной услуги "Постановка на учет граждан Российской Федерации, постоянно проживающих на территории Российской Федерации, желающих усыновить детей на территории Чувашской Республики"
(Зарегистрирован 15.04.2026 № 11104)
Номер опубликования: 2101202604160001
Дата опубликования: 16.04.2026
Страница №17 из 18:
Увеличить