Официальное опубликование правовых актов
ОФИЦИАЛЬНОЕ ОПУБЛИКОВАНИЕ
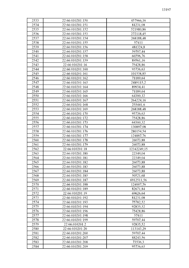
Постановление Администрации Алтайского края от 23.11.2015 № 472
"Об утверждении результатов определения кадастровой стоимости земельных участков в составе земель населенных пунктов Алтайского края"
Номер опубликования: 2200201511300002
Дата опубликования: 30.11.2015
Страница №13197 из 15221:
Увеличить